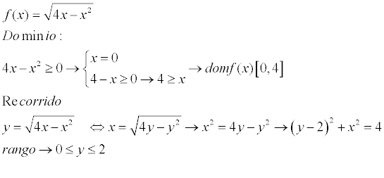
buenas
Me piden que averigüe las posibles soluciones de esta ecuación , me lo puede explicar alguien
gracias
Hola necesito ayuda con este ejercicio...
7*4-(4(-8)-(-6)(-5))-((4(-6)+3*7)-(8(-6)+8-6)(-7)))
En una encuesta se pregunta: "¿Cree Ud. que el nuevo presidente será MEJOR, IGUAL o PEOR que sus antecesor?" Contestaron MEJOR ‘a’ personas, ‘b’ personas contestaron IGUAL y ‘c’ personas contestaron PEOR. Con estos datos, los sociólogos calculan dos parámetros del "Optimismo Social": m = a + b/2; n = a – c. Si se encuestó a 100 personas en total y resultó que m = 40. ¿Cuánto vale n?
En una encuesta se pregunta: "¿Cree Ud. que el nuevo presidente será MEJOR, IGUAL o PEOR que sus antecesor?" Contestaron MEJOR ‘a’ personas, ‘b’ personas contestaron IGUAL y ‘c’ personas contestaron PEOR. Con estos datos, los sociólogos calculan dos parámetros del "Optimismo Social": m = a + b/2; n = a – c. Si se encuestó a 100 personas en total y resultó que m = 40. ¿Cuánto vale n?¿¿¿ ALGUIEN PODRÍA AYUDARME ??

Puedes plantear
a + b/2 = 40, aquí multiplicas por 2 en todos los términos, haces pasaje de término, y queda:
b = 80 - 2a (1),
a - c = n, aquí multiplicas por -1 en todos los términos, haces pasaje de término, y queda: c = a - n (2),
a + b + c = 100;
luego, sustituyes las expresiones señaladas (1) (2) en la tercera ecuación, y queda:
a + 80 - 2a + a - n = 100,
reduces términos semejantes (observa que tienes cancelaciones), y queda:
80 - n = 100,
haces pasajes de términos, reduces términos semejantes, y queda:
-20 = n.
Espero haberte ayudado.
Hola, podría ayudarme con este ejercicio:
Dadas laa funciones g(x)=(2-x)^½ y f(x)= x^2
Calcula: (g○f)(x) y (f○g)(x) y sus respectivos dominios.
Datos:
Dom f(x)=R Recf(x)=[0, +infinito)
Dom g(x)=(-infinito,2] Rec g(x)= [0,+infinito)
(g○f)(x)= (2-x^2)^½ (f○g)(x)= 2 - x
¿Cómo se calcularían los dominios de ambas composiciones?

Recuerda que un elemento x perteneciente al dominio de la función compuesta debe cumplir dos condiciones:
1°)
x debe pertenecer al dominio de la primera función;
2°)
la imagen de x con la primera función debe pertenecer al dominio de la segunda función.
Luego, vamos a tus ejercicios:
a)
1°)
x ∈ Df,
se cumple para todo x;
2°)
x2 ∈ Dg,
se cumple si y solo si:
x2 ≤ 2; haces pasaje de potencia como raíz (observa que el exponente es par), y queda:
|x| ≤ √(2), que corresponde al intervalo:
[ -√(2) , √(2) ];
luego, observa que los elementos de este último intervalo cumplen con las dos condciones, por lo que queda:
Dgof = [ -√(2) , √(2) ];
luego, la expresión de la función f compuesta con g queda:
(g o f)(x) = g( f(x) ) = g( x2 ) = √(2 - x2).
b)
1°)
x ∈ Dg, por lo que tienes la condición: x ∈ ( -∞ , 2 ];
2°)
√(2 - x) ∈ Df, que se cumple para todo x perteneciente al dominio de la función g;
por lo tanto tienes que el dominio de la función g compuesta con f queda:
Dfog = ( -∞ , 2 ];
luego, la expresión de la función g compuesta con f queda:
(f o g)(x) = f( g(x) ) = f( √(2 - x) ) = ( √(2 - x) )2 = |2 - x| = 2 - x,
ya que el argumento del valor absoluto toma valores positivos.
Espero haberte ayudado.

Debes aplicar la definición de continuidad de una función en un punto de su dominio:
1°)
f(1) = √(1) = 1;
2°)
Lím(x→1-) f(x) = Lím(x→1-) (-x2 + ax) = -1 + a (*),
Lím(x→1+) f(x) = Lím(x→1+) √(x) = 1 (**),
y para que el límite exista, planteas la igualdad de las expresiones señaladas (*) (**) y queda la ecuación:
-1 + a = 1, haces pasaje de término, y queda: a = 2;
3°)
tienes: f(1) = Lím(x→1) f(x) = 1, por lo que tienes que la función es continua en x =1, con la condición: a = 2.
Luego, la expresión de la función queda:
f(x) =
-x2 + 2*x si x < 1
√(x) si x ≥ 1.
Luego, plantea la expresión de la función derivada (recuerda que el valor para el punto de corte entre trozos debes calcularlo con la definición):
f ' (x) =
-2*x + 2 si x < 1
a determinar si x = 1
1/( 2*√(x) ) si x > 1;
y observa que puedes inferir que la función derivada no está definida para x = 1 porque los límites laterales para x tendiendo a 1 son distintos (0 por la izquierda y 1/2 por la derecha).
Queda para plantees y calcules las derivadas laterales para x =1 por medio de la definición.
Espero haberre ayudado.
Observa que en los denominadores tienes una suma x+1, una resta x-1 y una resta de cuadrados x2-1 directamente relacionados.
Pasas a común denominador la expresión de tu enunciado y obtenemos:
( (x2)*(x-1) + (2)*(x+1) - 2 )/ (x2-1) = 0
operamos:
( (x2)*(x-1) + (2)*(x+1) - 2 ) = 0*(x2-1)
(x2)*(x-1) + (2)*(x+1) - 2 ) = 0
x3-x2+2x+2-2=0
x3-x2+2x=0
x*(x2-x+2)=0
x=0
No hay más soluciones porque x2-x+2=0 no tiene valor que la verifique en los reales.
Sí, aunque en este caso no sea necesario por eso de que puedes sacar factor común x por simple inspección x3-x2+2x = x*(x2-x+2)
Por Ruffini:
x3-x2+2x
| 1 -1 2 0
|
0 |-----------------------------------------------
1 -1 2 0
x3-x2+2x = (x-0)*(x2-x+2) = x*(x2-x+2)
Como puedes ver, obtienes el mismo resultado en cualquier caso.