Necesito ayuda con el siguiente problema:
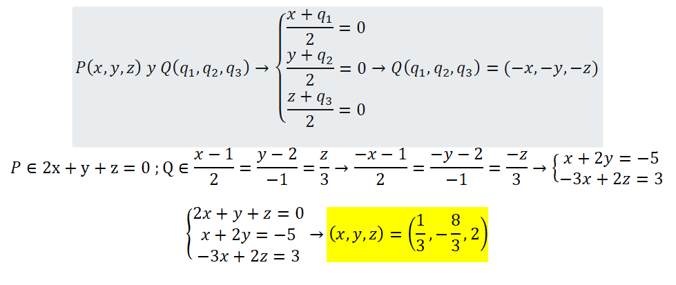
-Determina los extremos de un segmento PQ cuyo punto medio es el origen de coordenadas, sabiendo que el plano 2x+y+z=0 contiene a P y que la recta s: (x-1)/2=(y-2)/-1=z/3 pasa por encima del punto Q.
Las soluciones: P(1/3,-8/3,2) y Q (-1/3,8/3,-2)

Te dice que la recta debe ser perpendicular al plano. Por lo tanto, el vector director de la recta va a ser el vector normal del plano. Como ya te dice un punto por el que pasa la recta vas a tener su vector director (el vector normal del plano) y el punto. Una vez ya obtenida la recta, te dice que busques el plano que contiene a la recta y pasa por un punto dado. Entonces coges el punto de la recta, hayas otro vector director con el punto de la recta y el punto que te dan (por el que pasa el plano) y el otro vector director que ya tenías de la recta. Así obtienes un punto y dos vectores, con lo que puedes construír el plano.
Hola chicos tengo una duda con el siguiente problema, alguien me puede ayudar por favor:
Las matrículas españolas, constan de 4 numeros, con dígitos del 0 al 9, y 3 letras, todas consonantes. Consideramos que hay 21 consonantes.
a) calcula cuantas matrículas podemos hacer.
b) cuantas tienen número capicúa.
C) cuantas tienen un número mayor de 8200.
calcula que probabilidad hay de que mi coche tenga entre las letras la M y la S (en cualquier orden y sin que se repita ninguna) y entre los números el 5 solo una vez en cualquier lugar.
el apartado a, he considerado que son variaciones con repetición
VR21,3= 8661
VR10,4= 10.000
10.000x 8661= 86610000 matriculas diferentes se pueden hacer.
En el apartado b
He considerado que son VR10,2= 100 matriculas con números capicúas.
Alguien puede ayudarme con el apartado c y d por favor..No sé como resolverlo
Gracias..
es una pregunta teorica:
¿Que es una ecuacion diferencial y que es una solucion de una ecuacion diferencial?
¿Que es el orden de una ecuacion diferencial? ¿Cuantas soluciones tiene una ecuacion dife-
rencial de segundo orden? En este caso, ¿cu´antas condiciones iniciales hay que especificar
para tener una solucion ´unica? Poner un ejemplo.
gracias

¡Hola! Nos encantaría ayudarte, pero no solemos responder dudas universitarias que no tengan que ver específicamente con los vídeos que David Calle ha grabado como excepción. O de otras asignaturas que no sean Matemáticas, Física y Química. Lo sentimos de corazón… Esperamos que lo entiendas.
Ojalá algún unicoo universitario se anime a ayudarte (de hecho, lo ideal es que todos los universitarios intentarais ayudaros los unos a los otros).