En la siguiente secuencia:
1 → 1, 2 → 1, 3 → 2, 4 → 1, 5 → 2, 6 → 2, 7 → 3, 8 → ∗
¿Qué tendría que sustituir al asterisco?
¿¿¿¿¿ ALGUIEN ME PODRÍA AYUDAR EN ESTE EJERCICIO PORFAVOR ?????
1 → 1, Dif=0
2 → 1, Dif=1
3 → 2, Dif=1
4 → 1, Dif=3
5 → 2, Dif=3
6 → 2, Dif=3+1= 4
7 → 3, Dif=3+1= 4
8 → ∗ Dif=4+3= 7 --------------> Tenemos el número 8 y una diferencia de 7, además el lugar en el que está el asterisco siempre resulta
ser el nº menor, por lo que podemos concluir que el asterisco tiene el valor " 1 "
~~ Con "Dif" me refiero a a-b cuando a →b
Si tengo una función cuadrática por ejemplo x^2, se sabe que es una parábola que abre hacia arriba, si fuese -x^2, se sabe que abre hacia abajo, ahora, ¿cómo sé cuando una parábola dada por una función cuadrática abre hacia los lados?
Gracias

Observa también que la ecuación:
x = a*y2 corresponde a una parábola, pero con eje horizontal,
y abre hacia la derecha si el coeficiente a es positivo, y abre hacia la izquierda si el coeficiente a es negativo.
Observa también que estas parábolas no son representaciones gráficas de funciones, porque alguno de sus elementos tienen dos imágenes, por ejemplo:
x = y2 abre hacia la derecha, y para x = 4 tienes dos opciones: y = -2 e y = 2.
Espero haberte ayudado.
¿Cómo se resolvería esta ecuación diofántica?
252x + 420y + 315z = 42

¡Hola! Nos encantaría ayudarte, pero no solemos responder dudas universitarias que no tengan que ver específicamente con los vídeos que David Calle ha grabado como excepción. O de otras asignaturas que no sean Matemáticas, Física y Química. Lo sentimos de corazón… Esperamos que lo entiendas.
Ojalá algún unicoo universitario se anime a ayudarte (de hecho, lo ideal es que todos los universitarios intentarais ayudaros los unos a los otros).
https://www.youtube.com/watch?v=TL75Ja39YyA
En la segunda parte del vídeo se resuelve un problema análogo al tuyo.

Semicircunferencia pequeña : altura = radio = 4 ==> Area1 = (1/2)*pi*(4^2) = 8*pi , además diámetro = 8
Semicircunferencia grande : altura = radio = 10 ==> Area2 = (1/2)*pi*(10^2) = 50*pi , además diámetro = 20
Trapecio : Sus bases son los diámetros de las circunferencias , además su altura es 8 ==> Area 3= ( 8/2)(20+8) = 112
El área total es la suma : 8*pi + 50*pi + 112 = 58*pi + 112 approx 294.21 cm^2
Para el perímetro :
Longitud de la circunferencia de radio r es L = 2*pi*r
Semicircunferencia pequeña ==> L1 = (1/2) 2*pi*4 = 4*pi
Semicircunferencia pequeña ==> L2 = (1/2) 2*pi*10 = 10*pi
Trapecio : Cuando proyectas la base a sobre la base b , a los costados se forman 2 triángulos rectángulos (congruentes ya que el trapecio es isósceles) , estos tienen altura 8 y base 6 , que por Pitágoras la hipotenusa es H^2 = 8^2 + 6^2 ==> H = 10 , esta hipotenusa en el trapecio viene a ser uno de los lados congruentes del trapecio ( los lados que están inclinados)
Entonces el perímetro es la suma : 4*pi + 10*pi + 10 + 10 = 14*pi + 20 approx 63.98 cm

Para el caso del volumen hay un problema ese dato que dicen " el trapecio de ser un cono tendría altura 12 " cambia totalmente el ejercicio y no se adecua a los datos allí mostrados para las bases del trapecio y su altura que es 8 . Esto es , cambiaría la longitud de las base manteniendo la altura 8 o cambia la altura manteniendo las bases 8 y 20 .
Para comprendernos estoy considerando que esa sección transversal mostrada del trapecio correspondería a un tronco de cono donde el cono tendría altura 12.
Si no se considera ese dato de " 12 " el volumen se puede calcular tranquilamente usando la fórmula del volumen de un tronco de cono , fíjate que lo demás sería calcular el volumen de las 2 semiesferas que es muy sencillo. No lo termino porque allí ya veo un error estaría adivinando una solución .
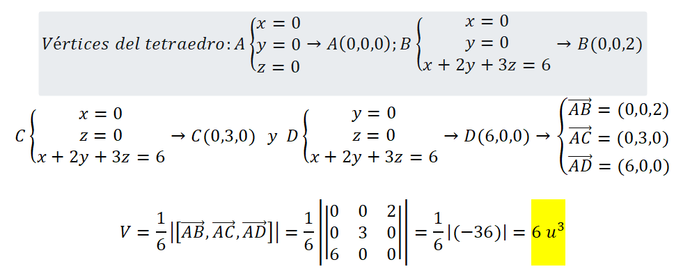
si para hayar la ecuacion del plano, me dan tres segmentos de 2, 3 y 4 m ¿que me estan dando realmente, puntos o vectores...? no se ni como empezar...
Gracias, siento no poner el enunciado pero ahora mismo no lo tengo conmigo, pero viene a ser calcular la ecuación del plano en el espacio con esos tres datos.
En el Examen de Funciones que proponéis en la web, creo que hay una errata en el resultado. Se dice que se haye el dominio de la función: y=1/(raíz de x-2). Y la respuesta que te da como correcta es: Dom : [2, infinito). Creo que la respuesta correcta sería Dom : (2, infinito) ya que el 2 tampoco entra en el dominio, al estar en el denominador anulando la función.
Un saludo chicos, me encanta vuestro trabajo.
PD: si este no es el lugar adecuado para poner este tipo de comentarios hacedmelo saber, mil gracias! Seguid así!
Si pudieran ayudarme con el ejercicio 10 estaría muy agradecida. Tengo examen mañana y ando perdidísima :(.

¡Hola! Nos encantaría ayudarte, pero no solemos responder dudas universitarias que no tengan que ver específicamente con los vídeos que David Calle ha grabado como excepción. O de otras asignaturas que no sean Matemáticas, Física y Química. Lo sentimos de corazón… Esperamos que lo entiendas.
Ojalá algún unicoo universitario se anime a ayudarte (de hecho, lo ideal es que todos los universitarios intentarais ayudaros los unos a los otros).