¿Cuál es el múltiplo más pequeño de 999 sin 9 en él? Solo estamos considerando números positivos
¿Cuál es el múltiplo más pequeño de 999 sin 9 en él?
No puedo encontrar uno y lo he intentado con la calculadora ¿Hay formas inteligentes?
Nota: Publique una solución que no sea la respuesta. Ya sé la respuesta, pero no cómo conseguirlo. ¡Gracias!

Me encantaría ayudarte, pero no respondo dudas universitarias que no tengan que ver específicamente con los videos que ya he grabado como excepcion. O de otras asignaturas que no sean matemáticas, física y química. Lo siento de corazón… Espero lo entiendas
Ojalá algun unicoo universitario se anime a ayudarte (de hecho lo ideal es que todos los universitarios intentarais ayudaros los unos a los otros)
Buenas!
tengo dos ejercicios los cuales me tienen un poco perdido (tema derivada) , espero que alguien me pueda guiar un poco para resolverlos. Gracias!
1) Obtenga la ecuación de la recta tangente a la curva f(x)=2x²+3 pendiente 8
2) Obtenga la ecuación de la recta normal a la curva f(x)=2-1/2x² que es la recta paralela a la recta r: x - y=0

1)
Tienes la expresión de la función: f(x) = 2x2 + 3, y la expresión de su función derivada queda: f ' (x) = 4x.
Recuerda que la pendiente de la recta tangente es igual a la derivada evaluada en el punto de contacto, por lo que planteamos:
f ' (x) = 8, sustituimos la expresión de la función derivada en el primer miembro y queda:
4x = 8, hacemos pasaje de factor como divisor y queda: x = 2, que es la abscisa del punto de contacto;
luego, para obtener la ordenada en dicho punto, evaluamos en la expresión de la función: y = f(2) = 2(2)2 - 3 = 8 - 3 = 5;
luego, con las coordenadas del punto de contacto y la pendiente, planteamos la ecuación cartesiana de la recta tangente:
y - 5 = 8*(x - 2), distribuimos en el segundo miembro y queda:
y - 5 = 8x - 16, hacemos pasaje de término y queda:
y = 8x - 11, que es la ecuación de la recta tangente a la gráfica de la función, cuya pendiente es 8 y su punto de contacto es (2,5).
2)
Tienes la expresión de la función: f(x) = 2 - (1/2)x2, y la expresión de su función derivada queda: f ' (x) = - x.
Observa que la ecuación cartesiana explícita de la recta r es: y = x, de donde tenemos que su pendiente es igual a 1.
Luego, recuerda que la recta normal es paralela a la recta r, por lo que su pendiente es igual a 1, y recuerda que la pendiente de la recta normal es igual al opuesto del inverso multiplicativo de la derivada evaluada para el punto de contacto, por lo que planteamos:
1 = - 1 / f ' (x), sustituimos la expresión de la función derivada y queda:
1 = - 1/(-x), resolvemos signos en el segundo miembro y queda:
1 = 1/x, hacemos pasaje de divisor como factor y queda:
x = 1, que es la abscisa del punto de contacto;
luego, para obtener la ordenada en dicho punto, evaluamos en la expresión de la función: y = f(1) = 2 - (1/2)(1)2 = 2 - 1/2 = 3/2;
luego, con las coordenadas del punto de contacto y la pendiente, planteamos la ecuación cartesiana de la recta tangente:
y - 3/2 = 1*(x - 1), distribuimos en el segundo miembro y queda:
y - 3/2 = x - 1, hacemos pasaje de término y queda:
y = x + 1/2, que es la ecuación de la recta tangente a la gráfica de la función, cuya pendiente es 8 y su punto de contacto es (2,5).
Espero haberte ayudado.

Tienes los dos primeros elementos de la sucesión: p0 = 1000 y p1 = 850,
y tienes la fórmula de recurrencia para los demás elementos: pk = (9/5)pk-1 - (4/5)pk-2.
a)
p2 = (9/5)p1 - (4/%)p0 = (9/5)*850 - (4/5)*1000 = 1530 - 800 = 730;
p3 = (9/5)p2 - (4/%)p1 = (9/5)*730 - (4/5)*850 = 1314 - 680 = 634;
p4 = (9/5)p3 - (4/%)p2 = (9/5)*634 - (4/5)*730 = 1141,2 - 584 = 557,2.
b)
Planteamos como elemento general: pk = c*rk, sustituimos en la fórmula de recurrencia y queda la ecuación característica:
c*rk = (9/5)*c*rk-1 - (4/5)*c*rk-2, dividimos por c*rk-2 en todos los términos de la ecuación y queda:
r2 = (9/5)r - 4/5, multiplicamos por 5 en todos los términos de la ecuación y queda:
5r2 = 9r - 4, hacemos pasajes de términos y queda:
5r2 - 9r + 4 = 0, que es una ecuación polinómica cuadrática cuyas soluciones son: r1 = 1 y r2 = 4/5;
luego, planteamos como elemento general explícito de la sucesión:
pk = a*1k + b*(4/5)k = a*1 + b*(4/5)k= a + b*(4/5)k;
luego, a partir del enunciado, planteamos el sistema de ecuaciones:
p0 = 1000
p1 = 850
sustituimos en los primeros miembros (k = 0 y k = 1, respectivamente) y queda:
a + b*(4/5)0 = 1000
a + b*(4/5)1 = 850
resolvemos coeficientes en los primeros miembros y qeuda:
a + b = 1000
a + (4/5)b = 850
luergo resuelves el sistema y queda la solución: a = 250, b = 750,
reemplazamos en la expresión explícita del elemento general y queda:
pk = 250 + 750*(4/5)k, con k ∈ N, k ≥ 0.
c)
p10 = 250 + 750*(4/5)10 = 250 + 80,5306368 = 330,5306368.
d)
Planteamos el límite para k tendiendo a +infinito del término general, y queda:
Lím(k→+∞) pk = Lím(k→+∞) (250 + 750*(4/5)10) = 250 + 750*0 = 250 + 0 = 250,
por lo que concluimos que el precio a largo plazo tiende a 250 euros.
Espero haberte ayudado.
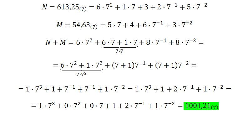
Realizar la suma de los siguientes números
5.4- 613,257 y 54,637
Hola, me podrían ayudar, ya que no se hacer suma en base 7
Gracias

Recuerda la equivalencia entre números en base diez: los menores que 6 coinciden, y los mayores iguales que siete, expresados en base siete:
7 = 107
8 = 117
9 = 127
10 = 137
11 = 147
12 = 157
13 = 167
14 = 207
15 = 217
16 = 227
etcétera.
Luego planteamos la suma del enunciado, y la resolvemos con el algoritmo de suma común (observa que tenemos acarreos, que indicamos en cursiva en la primera línea):
1 1 1 1 1
6 1 3 , 2 5
+ 5 4 , 6 3
1 0 0 1 , 2 1
Numeramos las columnas, de derecha a izquierda:
Columna 1: la suma es 8, que expresado en base 7 queda: 11,
Columna 2: la suma es 9 (hay uno de acarreo de la columna anterior), que expresado en base 7 queda: 12;
Columna 3: la suma es 8 (hay uno de acarreo de la columna anterior), que expresado en base 7 queda: 11;
Columna 4: la suma es 7 (hay uno de acarreo de la columna anterior), que expresado en base 7 queda: 10;
Columna 5: la suma es 7 (hay uno de acarreo de la columna anterior), que expresado en base 7 queda: 10;
Columna 6: la suma es 1 (solamente uno de acarreo de la columna anterior), que expresado en base 7 queda: 1.
Por lo tanto, el resultado de la suma del enunciado es: 1001,217.
Espero haberte ayudado.

El algoritmo es el mismo que en base 10
5+3=8 = 11 (en base 7)
Entonces se lleva 1 y se pone 1
Como se llevó 1 entonces en la siguiente columna :
1+2+6=9=12 (base 7)
Entonces se lleva 1 y se pone 2.
En la siguiente columna:
1+3+4=8=11(base 7)
Se pone 1 se lleva 1 y se continúa el mismo proceso , observa que 7 = 10(base 7) , el resultado final debe ser.
1001,21
Buenas tardes. Me gustaría que alguien me indicase si son correctos los cálculos del siguiente ejercicio. No estoy segura de haberlo hecho bien y no se me ocurre como plantearlo de un modo distinto.
Muchas gracias

Puedes plantear los vectores:
AB = < 4-3 , 2-(-1) , 1-(-2) > = < 1 , 3 , 3 >
AC = < 5-3 , 3-(-1) , 4-(-2) > = < 2 , 4 , 6 >.
Luego, recuerda la propiedad del módulo del producto vectorial entre ellos, que es igual al doble del área del triángulo determinaod por ellos:
| AB x AC | = 2*At, sustituimos y queda
| < 1 , 3 , 3 > x < 2 , 4 , 6 > | = 2*At, resolvemos el producto vectorial y queda:
| < 6 , 0 , -2 > | = 2*At, planteamos el módulo del vector del primer miembro y queda:
√(62 + 02 + (-2)2) = 2*At, resolvemos el primer miembro y queda:
√(40) = 2*At, hacemos pasaje de factor como divisor ( observa que √(40) = √(4*10) = √(4)*√(10) = 2*√(10) ) y queda:
2*√(10)/2 = At, simplificamos en el primer miembro y queda:
√(10) = At.
Luego, observa en la imagen del enunciado, que la longitud de la base correspondiente a la altura h es igual al módulo del vector AC, luego lo calculamos y queda:
|AC| = √(22 + 42 + 62) = √(4 + 16 + 36) = √(56).
Luego, planteamos que el área del triángulo es el producto de su base por su altura dividido por dos, por lo que planteamos:
At = |AC|*h/2, hacemos pasajes de factor y de divisor y queda:
2*At/|AC| = h, luego reemplazamos valores y queda:
h = 2*√(10)/√(56) = 2*√(10/56) = 2*√(5/28) ≅ 0,8452.
Espero haberte ayudado.
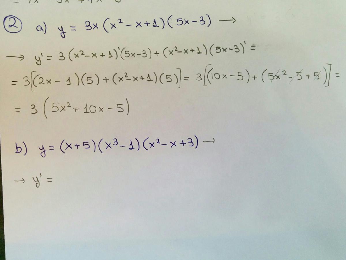
Hola Unicoos, la primera derivada no me sale y la segunda no se como empezarla .
Podrían ayudarme?
Muchas gracias
Las derivadas de producto de funciones se hace derivando la primera función y multiplicando el resultado por el resto de funciones sin derivar, sumando a esto el producto de la derivada de la segunda función por el resto de funciones sin derivar, y sumando el producto de la derivada de la tercera función por el resto de funciones sin derivar........y así sucesivament