Hola buenas, haciendo un ejercicio me viene este enunciado
Si A∈Mn×n(R) y b∈Mn×1(R) satisfacen que b≠0, Ab=0, entonces el sistema AX=0, donde X∈Mn×1(R) es la columna de incógnitas y 0 es la matriz columna nula de orden n×1:
Lo entiendo regular, se que tiene que ver con los sistemas de matrices lineales pero me lo explican ?
Hola,
¿Me podríais resolver esta duda?
Representar en la recta real:
3-√7
5/3 + √3/2
8/9 - 1/√3
1/ (√2 - 1)
Un saludo!
Gracias!

como te dijo el profe David, te lo piden de forma exacta o aproximada?
por que si es de forma exacta vas a tener que jugar con la raiz, usando el teorema de pitagoras, dentro de la raiz tiene que estar expresado la suma de 2 numeros elevado al cuadrado, que jugarian el papel de catetos de un triangulo, despues con un compas midiendo la hipotenusa, te fijas dodne toca al eje x y ahi tenes representado tu raiz de forma exacta
por ej:
=3-√7
= 3-√(22 +√32) <---- un triangulo de base 2 y altura √3
= 3-√(22 +√(√22+12)
y asi vas descomponiendo . y listo,
si no me explique claro avismqw que lo hago en algun dibujo
UNICOS
AYUDA PORFAVOR! no encuentro recursos que me ayuden a resolver estas
funciones; tengo que clasificarlas,encontrar su dominio,rango,saber de
que funciones està compuesta y si son simétricas con respecto al eje y o
al
origen
y=2 sec(2x)
y=sen(x+π)
y=2/3 in(x)+2x
y=1+cos(x-π/2)
y=x²√9-x²

Revisa los vídeos de SIMETRIA, DOMINIO, RANGO...
A partir de ahí, se trata de que DESPUES DE IR A CLASE (ver los vídeos relacionados con vuestras dudas) enviéis dudas concretas, muy concretas. Y que nos enviéis también todo aquello que hayais conseguido hacer por vosotros mismos. Paso a paso, esté bien o mal. No solo el enunciado. De esa manera podremos saber vuestro nivel, en que podemos ayudaros, cuales son vuestros fallos.... Y el trabajo duro será el vuestro. #nosvemosenclase Nos cuentas ¿ok?
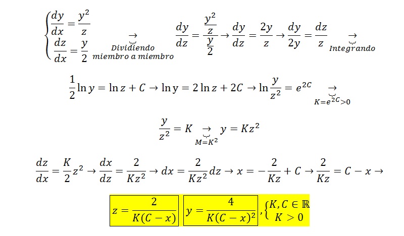
Hola Unicoos, (ya sé que aquí no se resuelven dudas de este tipo, pero también sé que es el mejor lugar para que alguien me ayude.) si alguien puede resolver este sistema, por cualquier método, estaré agradecido eternamente, he intentado de muchas maneras, y ya lo unicoo que se me ocurre, es ponerlo aquí. gracias de antemano.![]()
Buenas noches, realizando un ejercicio de estadística me he topado con estos dos ejercicios, y por más, ninguna de las opciones que me ofrecen coincide con las que me dan
1.- En una compañia fueron contratados 5 nuevos empleados con los sig salarios
500-750-800-600-400
Calcule el error de estimación máxima.
2- Una compañia que produce esferas, toma al azar una muestra de 5 esferas con los siguientes diámetros en milímetros.
63-64-65-66-67
Calcule el error de estimación máxima.
Desde ya, muchisimas gracias.

Va una orientación, para que luego continúes con la resolución de la inecuación.
Observa que x debe ser distinto de 0 y de -4. Luego, has distribuido correctamente los valores absolutos en las expresiones fraccionarias, y ahora puedes hacer pasajes de divsores como factores:
|2x + 3|*|x + 4| >= |2x|*|x|, luego aplicamos propiedad del valor absoluto de un producto en el segundo miembro:
|2x + 3|*|x + 4| >= |2x^2|, luego observa que el argumento del valor absoluto del segundo miembro es positivo:
|2x + 3|*|x + 4| >= 2x^2
Luego tienes cuatro opciones, y de cada una de ellas obtendremos un subintervalo (que puede llegar a ser vacío), que estará incluido en el conjunto solución, que será igual a la unión de los cuatro subintervalos:
1) 2x + 3 >= 0 y x + 4 >= 0 y (2x + 3)(x + 4) >=2x^2
2) 2x + 3 >= 0 y x + 4 <= 0 y (2x + 3)(-(x + 4) >= 2x^2
3) 2x + 3 <= 0 y x + 4 >= 0 y -(2x + 3)(x + 4) >= 2x^2
4) 2x + 3 <=0 y x + 4 <= 0 y -(2x + 3)(-(x + 4)) >= 2x^2
Haz el intento de continuar la tarea, y si es preciso vuelves a consultar.
Espero haberte ayudado.