Hola buenos días, disculpen las molestias nuevamente. tengo que hacer la ecuación parametrica del plan o, me dan un punto que pertenece a la recta y un vector paralelo... la duda mía es ¿como consigo el vector que me falta para poder formarla o con un solo vector alcanza?
Ejercicio:
Hallar ecuación parametrica de la recta paralela al vector u=2i+j-k que pase por el punto M(2,0,3)
yo había hecho lo siguiente
x=2+2t
y=t
z=-1+3t
y luego recordé que se necesitan 3 términos dentro de cada ecuación, es decir 1 punto y 2 vectores.
Desde ya muchas gracias, saludos.
Gracias Antonio, si me exprese mal yo.
y supongamos que después tengo que ver si el punto R (3,1/2, 5/2) esta en dicha recta, ¿que hago? ¿hago la ecuación general del vector dado con el primer punto (2,0,3) me fijo el valor del termino independiente y después hago lo mismo con el punto R? es decir:
2.2-3 + D =
D=-1
y luego :
2.3+1/2-5/2 +D =
D =4
por lo tanto dicho punto no pertenece a la recta porque los términos independientes son de distinto valor.
¿correcto?
Hola chicos, alguien podria explicarme como se hace este ejercicio, me he quedado un poco atascado, gracias.
Hola amigos de unicoos, les pido ayuda con estos problemas, solo deseo ayuda con el 7 y el 9
Gracias

Hola tomas, te dibuje con los circulos para que notes que los triangulos BAD y BOD son triangulos isosceles debido a que tienen dos lados iguales y son iguales por que son los mismos radios de la circunferencia, recordandote que en un triangulo iscoceles dos de sus lados y angulos son iguales y tambien recordandote que la suma de los angulos internos de un triangulo es siempre 180, espero ayudarte tomas suerte :) La respuesta es 20
Holaa, me ayudan con este ejercicio? yo mas o menos lo resolví y me dió que para que sea Indeterminado k=6, para que sea Compatible determinado k=3, y para que sea Incompatible k=2. Pero creo que no está bien..
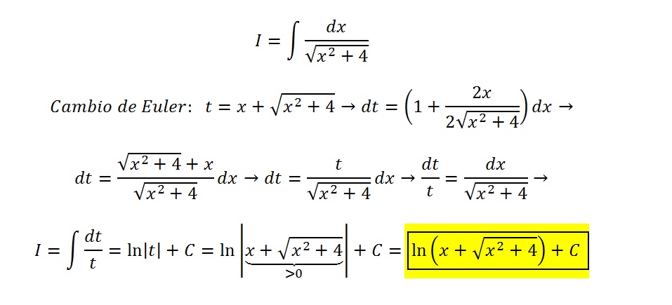
Unicoss resolví esta integral ∫ dx/√(4+x²) y me dio como respuesta ln|√(4+x²)/2+x/2|+C. Quiero saber si mi resultado es correcto la resolví con cambio de variable trigonometrica y según el resultado de la guia me tendria q ver dado ln|√(4+x²)+x|+C. Cual esta correcta????

La sustitución a aplicar es:
x = 2tanu, de donde tenemos: dx = 2 *dx / (cosu)^2, y también: 4 + x^2 = 4/ (cosu)^2, cuya raíz cuadrada queda: 2/cosu.
Vamos con la integral, sustituimos, simplificamos y queda:
I = Integral (1/cosx)*dx = Integral (cosx / (cosx)^2)*dx = Integral (cosx / (1 - (senx)^2))*dx
Luego, una nueva sustitución:
w = senx, de donde tenemos: dw = cosx*dx, sustituimos y queda:
I = Integral (1 / (1 - w^2))*dw
Esta integral se puede resolver con el método de las fracciones parciales, ya que:
1 / (1 - w^2) = 1 / (2*(1 + w)) + 1/(2*(1 - w))
Luego reemplazamos, integramos y queda:
I = (1/2) * ln|1 + w| + (1/2) * ln|1 - w| + C.
Solo resta volver a sustituir:
a partir de u = senw, tenemos que: w = arcsenu,
y luego:
a partir de x = 2tanu, tenemos que: u = arctan(x/2)
Espero haberte ayudado.
Si X=2tgθ. dx=2sec²θdθ
Entonces 2∫sec²θ/√4+(2tgθ)²= 2∫sec²θ/√4+(4tg²) factorizamos el denomonador = 2∫sec²θ/√4(1+tg²θ)
Sacamos ese cuatro de la integral y se elimina con el dos= ∫sec²θ/√(1+tg²θ) y esto es igual a ∫sec²θ/√sec²dθ se elimina la raiz con el cuadrado y nos queda ∫sec²θ/secθ ∫secθdθ =ln|secθ+tgθ|+c.
Luego regreso a mi variable original q es X.
Hola Unicoos! Si alguien sabe del tema extremos relativos y absolutos y Lagrange, me puede ayudar con el ejercicio 8 y 9 b)? Muchas gracias!!!
Sea f(x)= 5x +3 y g(x) una función cualquiera derivable en x=8. sabiendo que (g o f )´ (1) = 2 . Calcular g´(8)

Observa que f es una función derivable, que f(1) = 8, y también que f ' (x) = 5 (observa que la derivada de la función f es constante).
Luego, vamos con la función compuesta: (g o f)(x) = g(f(x)), que es la función que debemos derivar y evaluar.
Luego, aplicando la regla de la cadena tenemos:
(g o f) ' (x) = g ' (f(x)) * f ' (x)
Luego evaluamos para x = 1 y nos queda:
(g o f) ' (1) = g ' (f(1)) * f ' (1) = g ' (8) * 5
Por último, empleando el dato de la función compuesta evaluada que nos brinda el enunciado tenemos:
2 = g ' (8) * 5
despejamos y llegamos a:
2/5 = g ' (8).
Espero haberte ayudado.