Unicoos como puedo sacar las coordenadas de tres puntos sin saber la formula o sea me han dado el radio de 5 m de un area de 130 m cuadrados de un rectángulo también me dice que el lado x es mayor al lado y, solo me han dado esa información, el me pueda ayudar se lo agradecería.
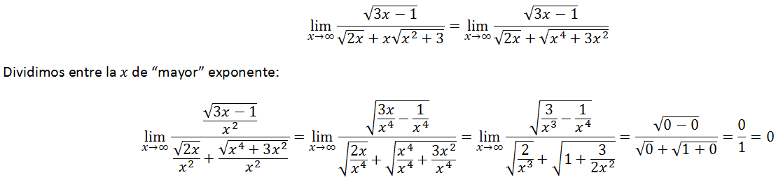
Hola amigos recurro a ustedes para pedirles por favor si me pueden dar una mano en estos límites, al primero lo intenté hacer con racionaliazión y no me sale y menos con dividirlo con el x de mayor grado y al segundo ejercicio se que hay que hacer cambio de variable pero me sale mal :/ me ayudan amigos
Hola, me han puesto un banderín rojo con el mensaje "reiteración de la misma pregunta". Obedezco. Ayuda con este problema. Gracias.
hola¡¡ disculpen a este problema no le encuentro solución: Una circunferencia tiene su centro en L: 2x + y +3, paso por el punto P(3,1) y es tangente a k:4x - 3y = 14. Hallar su ecuación.
Yo hice esto pero al tratar de resolver la ecuación cuadrática me da un imaginario :(.

Despejamos "y" de la primera ecuacion: 2x+y+3=0→y=-2x-3
Por lo que el centro es de la forma (a,-2a-3). Entonces te queda que:
√[(3-a)²+(4+2a)²]=|4a+3(2a+3)-14|/5
Resolviendo esa ecuacion obtienes dos posibles valores de a: a_1=-2 y a_2=-12
Tenemos que d=√[(3-a)²+(4+2a)²], entonces sustituye ambos valores para encontrar los radios de las dos circunferencias que cumplen con dichas condiciones...
Hola a todos de nuevo! He estado practicando mucho hoy y hubo tres ejercicios que no pude resolver, por eso recurro a ustedes unicoos nuevamente para pedir ayuda! gracias desde ya

Te ayudo con el 3. Queremos demostrar que f(x) y g(x) se intersectan en algún punto en el intervalo dado. Demostrar que las las funciones se intersectan es lo mismo que demostrar que f(x)=g(x)→f(x)-g(x)=0 para algún x en el intervalo. Definimos la función h(x)=f(x)-g(x)→h(x)=e^x+x-2, observemos que es continua en [0,1]. Entonces:
• h(0)=e^0+0-2→h(0)=1-2→h(0)=-1
• h(1)=e^1+1-2→h(1)=e-1>0
Entonces existe c∈(0,1) tal que h(c)=0→e^c+c-2=0. Ojala y te sirva :)
Hola unicoos tengo un problema de ecuación lineal que no logro resolver, dice asi:
En un partido de fútbol, las entradas para los socios cuestan $ 50, mientras que los que no son socios deben pagar una entrada de $ 80. Si el número de entradas vendidas para no socios fue 3/4 del número total de localidades vendidas y la recaudación fue de $ 2030000 ¿Cuántas entradas de cada clase se vendieron?

Comencemos con denominar:
x: "cantidad de entradas vendidas a los socios" (observa que la recaudación por entradas vendidas a socios es: 50x)
y: "cantidad de entradas vendidas a los no socios" (observa que la recaudación por entradas vendidas a no socios es: 80x, y que la cantidad total de entradas vendidas queda expresada como: x + y)
Luego, en el enunciado, tenemos información:
"Si el número de entradas vendidas para no socios fue 3/4 del número total de localidades vendidas": y = (3/4)(x + y)
" la recaudación fue de $ 2030000": 50x + 80y = 203000
Luego, tendrás que resolver el sistema de dos ecuaciones lineales de primer grado con dos incógnitas:
y = (3/4)(x + y)
50x + 80y = 2030000
Seguramente, has estudiado y practicado resolución de este tipo de sistemas en clase, por lo que puedes intentar resolverlo.
Espero haberte ayudado.

A ver, Ana, vamos a resolverlo: Llamo A ( entradas de socios); B ( entradas de no socios) Pues bien
50A+80B=2030000
3/4(A+B)=B→3A/4+3B/4=B→3A+3B=4B→A=(4B-3B)/3=B/3 Sustituyendo tenemos:
50(B/3)+80B=2030000→290B/3=2030000→B=2030000·3/290=21000 Entradas de no socios. Si sustituimos de nuevo tenemos:
A=B/3=21000/3=7000 Entradas de socios. Vamos a comprobar el ejercicio:
1ª Ecuación: 50A+80B=50·7000+80·21000=350000+1680000=2030000 (correcto)
2ª Ecuación: A=B/3=21000/3=7000 (Correcto)
Está terminado y comprobado el ejercicio.
Te sugiero que practiques ejercicios de sistemas de ecuaciones, así como los métodos de Sustitución, Igualación y Reducción para resolverlos. UN Saludo.