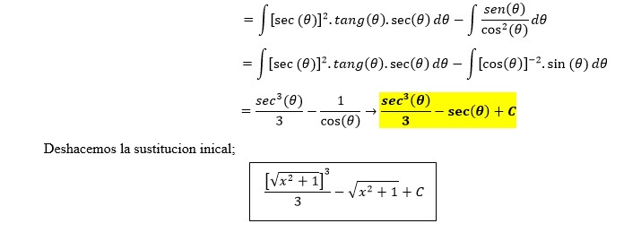
Hola, Tengo una pregunta y no se mucho del tema, Con respecto a Maximos y Minimos, puntos criticos, Se puede utilizar el teorema de Rolle como para afirmar que los puntos encontrados son verdaderos?
Hola, quería hacer una consulta. El resultado del área entre dos curvas, siempre es positivo? O puede ser en algunos casos negativo?
Por ejemplo, encontrar el área de la región comprendida entre las gráficas F(x) y G(x), ese resultado ¿siempre va hacer positivo?
Muchas gracias.

Debes tener en cuenta que el Área es una magnitud positiva, por lo que bien calculada siempre debe ser igual a un número positivo.
Pero eso no significa que la integral sea siempre positiva.
Si te piden calcular el área entre dos gráficas, debes verificar cuál de ellas toma valores mayores o iguales que la otra. Por ejemplo, si F(x) >= G(x) en un intervalo [a,b], entonces el área encerrada entre las curvas, para el intervalo dado se calcula:
A = Integral (F(x) - G(x))*dx, integrando x entre a y b.
Y si no te indican intervalo, debes encontrar los puntos de intersección, e integrar entre ellos, teniendo en cuenta cuál es la función que toma valores mayores, y cuál toma valores menores entre dichos puntos.
Por ejemplo: "calcular el área encerrada entre las gráficas Curva1: y = x^3, Curva2: y = x"
Primero buscamos los puntos de intersección, y para ello igualamos:
x^3 = x
agrupamos a la izquierda de la igualdad:
x^3 - x = 0
extraemos factor común:
x * (x^2 - 1) = 0
descomponemos el producto que es igual a cero:
x = 0, o también x^2 - 1 = 0, y observa que de esta última ecuación obtenemos x = -1, x = 1.
Por lo tanto, para cada valor de x que hemos encontrado, sus valores de y calculados a partir de las expresiones son: 0, -1 y 1 respectivamente, por lo tanto tenemos que:
los puntos de intersección son tres: A(-1, -1), B(0,0) y C(1,1), por lo que tendremos dos subintervalos para integrar: [-1,0] y [0,1].
Si tomas valores intermedios en cada uno de ellos, verás que:
en el primer intervalo los valores de y para Curva 1 son mayores que los valores para Curva 2, por lo que el área correspondiente al subintervalo se plantea:
A1 = Integral (x^3 - x)*dx integrando x entre -1 y 0;
en el segundo intervalo los valores de y para Curva 2 son mayores que los valores para Curva 1, por lo que el área correspondiente al subintervalo se plantea:
A2 = Integral (x - x^3)*dx integrando x entre 0 y 1;
luego, el área entre las gráficas de las curvas dadas es igual a la suma de las áreas que hemos calculado.
Espero haberte ayudado.
Unicoos!!. Agradezco mucho su ayuda, me han ayudado bastante con esta materia
El rango de la matriz de coeficientes de un SEL no puede ser mayor que el rango de
su matriz aumentada?

Debes tener en cuenta que una de las formas de evaluar el rango de una matriz asociada a un sistema de ecuaciones lineales es, por medio de operaciones elementales entre filas, llevar la matriz a su forma escalonada y reducida por filas.
Una vez terminado este proceso, el rango se puede visualizar contando la cantidad de filas no nulas, ya sea de la matriz del sistema o de su matriz ampliada (o aumentada).
Debes considerar también el Teorema de Rouché-Frobenius (R(A) indica rango de la matriz del sistema, R(A|B) indica rango de la matriz aumentada, Ni indica cantidad de incógnitas):
Si R(A) = R(A|B) = Ni entonces el sistema es compatible determinado y tiene una sola solución,
Si R(A) = R(A|B) distinto de Ni entonces el sistema es compatible indeterminado y admite infinitas soluciones,
Si R(A) es distinto de R(A|B) entonces el sistema es incompatible y no admite solución.
Para este último caso, va un ejemplo:
x + y =0
y - z = 1
x + z = 3
Si tomas la matriz del sistema, ella tiene los elementos:
1 1 0
A = | 0 1 -1 | observa que A es una matriz cuadrada de tres filas y tres columnas
1 0 1
Si calculas su determinante, éste es igual a cero, por lo tanto su rango no es igual a tres.
Y si tomas la matriz aumentada:
1 1 0 0
A|B = | 0 1 -1 1 | observa que A|B es una matriz rectangular de tres filas y cuatro columnas, por lo tanto su rango, a lo sumo, es igual a tres.
1 0 1 3
Si a continuación tomas la submatriz formada por las últimas tres columnas (observa que la submatriz es cuadrada con tres filas y tres columnas) y calculas su determinante, encontrarás que éste es igual -4 distinto de cero, por lo que el rango de la matriz aumentada es tres.
Este resulta ser un ejemplo en el que el rango de la matriz del sistema es igual a dos, y el rango de la matriz aumentada es tres, por lo que son distintos y el sistema resulta incompatible.
Espero haberte ayudado.
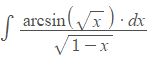
Hola como podría hacer esto... pensaba que separan dolo.. pero no ha salido la respuesta.. ∫arcsen√x*dx⁄√1-x
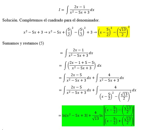
∫(2x-1)*dx⁄x²-5x+3