Hola Unicoos, me dan una mano para demostrar esto? no logro llegar al conjunto S, Gracias!
(x⊆ S ^ y⊆S) => [(x-y) ⊆ S]

Si, enrealidad pense en usar la simplificacion y luego usar la hipotesis pero nose si se podia. AHi dejo el ejercicio, es un poco mas largo de lo que puse, se trata de demostrar las propiedades (cerrada, asociativa, etc) del grupo formado por el conjunto de partes o conjunto potencia de S y la diferencia, pero luego me quedaba eso por demostrar, tambien se puede refutar pero no encontre ningun caso en el que falle
Necesito q me expliquen cómo hacer el ítem a de este ejercicio . N entiendo si es una circunferencia de radio 1 o 2.
Hola David!
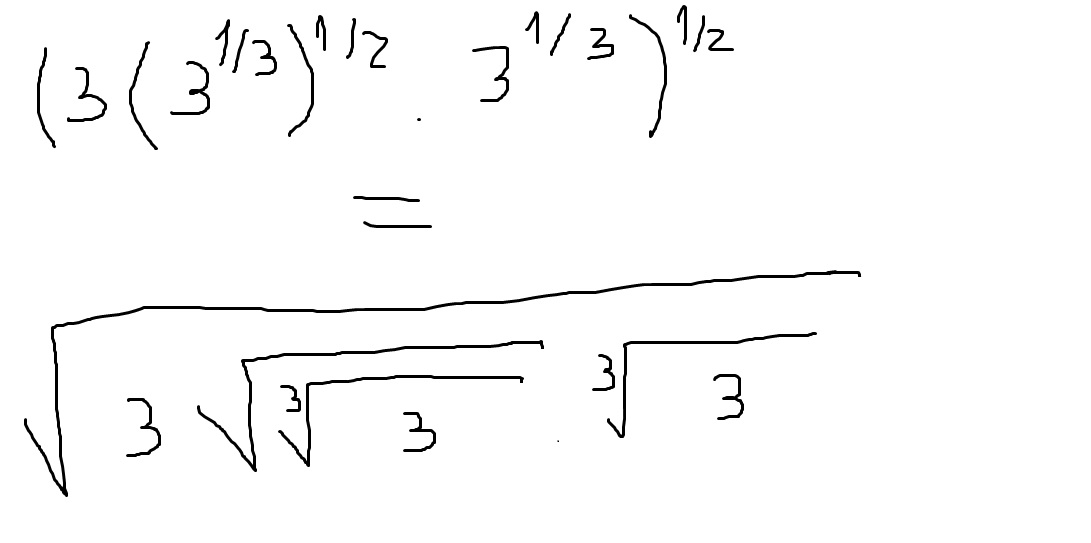
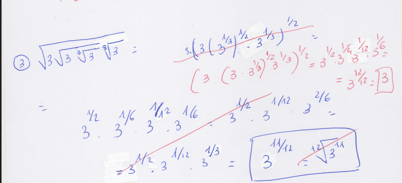
Este ejercicio por diversos métodos me da la misma respuesta( raíz 12 de 3 elevado a 11)
y a mi profesora le da como resultado 3.
¿Cuál es la correcta?
Sean f:X---->Y y g:Y---->Z dos aplicaciones.
a. Demuestre que si f y g son inyectivas, entonces gºf es inyectiva.
b. Demuestre que si f y g son sobreyectivas, entoces gºf es sobreyectiva.
c. Demuestre que si gºf es sobreyectiva, entonces g es sobreyectiva.
d. Demuestre que si gºf es inyectiva, entonces f es inyectiva.
Hola! Me podéis recomendar alguna página para hacer gráficos a partir de la función?
Estoy buscando la gráfica de la función y=1/2·x·x^2