Fíjate que en ambos casos el numerador es muy parecido a la derivada del denominador (con algún factor constante para hacerlo ).
Entonces es una sustitución u= denominador, du/dx = derivada .... La integral de du/u es el logaritmo neperiano de u. ..... Ánimo atrévete a hacer los pasos concretos!
hola profe necesito ayuda con funciones reales por favor
holas buenas noches, necesitaría una mano con este ejercicio no se como afrontarlos, tal vez sea porque me falta algo de teoría si me pudieran ayudar se los agradeceria..

Debes tomar en cuenta las dimensiones de los espacios vectoriales, y la relación entre ellas:
Sea la transformación lineal T: V ---> W, entonces dim(N) + dim(I) = dim(V)
con:
V: dominio de la transformación
W: codominio de la transformación
N: núcleo de la transformación (observa que N es subespacio de V, por lo tanto dim(N) <= dim(V))
I: imágen de la transformación (observa que I es subespacio de W, por lo tanto dim(I) <= dim(W)).
Luego la transformación es sobreyectiva cuando dim(I) = dim(W), y la transformación es inyectiva cuando dim(N) = 0 (observa que corresponde a que el núcleo es el subespacio con el vector nulo de V como único elemento).
En el primer caso:
V = R^2, y dim(V) = 2
W = R^3, y dim(W) = 3
si suponemos que la transformación es sobreyectiva, tenemos que:
I = R^3 y dim(I) = 3;
ahora planteamos la relación entre las dimensiones:
dim(V) = dim(N) + dim(I)
reemplazamos y queda:
2 = dim(N) + 3
despejamos y queda:
-1 = dim(N)
lo que resulta absurdo, porque las dimensiones toman valores naturales, por lo tanto concluimos que la transformación T no es sobreyectiva.
En el segundo caso:
V = R^4 y dim(V) = 4
W = R^2 y dim(W) = 2, observa que dim(I) <= 2
si suponemos que la relación es inyectiva entonces tenemos que dim(N) = 0
ahora planteamos la relación entre las dimensiones:
dim(V) = dim(N) +dim(I)
reemplazamos y queda:
4 = 0 + dim(I)
con lo cuál llegamos a;
dim(I) = 4
lo que resulta absurdo, ya que I es subespacio de W, por lo que su dimensión puede ser, a lo sumo, igual a 2, por lo tanto la transformación no puede ser inyectiva.
Espero haberte ayudado.
Hola amigos de unicoos, me pueden ayudar con este ejemplo, no e logrado encontrar algún ejemplo similar para guiarme.
Pura vida muchas gracias :D

Puedes comenzar por llevar la expresión a su forma canónica, por medio del método de completar binomios elevados al cuadrado.
Ordenamos términos y hacemos pasaje de uno de ellos y queda:
x^2 + 4x + y^2 + 6y = 23
luego sumamos en ambos miembros términos numéricos (iguales a los cuadrados de los coeficientes de x e y en los términos lineales):
x^2 + 4x + 4 + y^2 + 6y + 9 = 23 + 4 + 9
luego, expresamos los trinomios como binomios elevados al cuadrado, resolvemos a la derecha y queda:
(x + 2)^2 + (y + 3)^2 = 36
que es la ecuación canónica de una circunferencia con centro en el punto C(-2,-3), y radio R = V(36) = 6.
Luego, la forma más práctica para parametrizar circunferencias es por medio de funciones trigonométricas:
x +2 = 6*cost
y + 3 = 6*sent
con el intervalo paramétrico: 0 <= t < 2pi
por último, despejamos las expresiones y queda:
x = -2 + 6*cost
y = -3 + 6*sent
con el intervalo paramétrico: 0 <= t < 2pi.
Espero haberte ayudado.
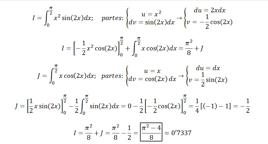
Tengo una integral definida x*2 . sen(2x) .dx
entre: b= pi/2 a=0
El tema esta en que hago la integral, luego reemplazo en las X y no me da el resultado, la integral me fije con videos y esta bien, pero al reemplazar no me da 0,73, alguien sabe cual puede ser el error? ya probe poniendo (2 x 90) o (180) en vez de (2 x pi/2) y no me da tampoco.
Antonio, el desarrollo es como el mio, pero veo que los resultados no me dan, yo prmero hago la integral como si no fuera una integral definida,= hago la integral (I) y le sumo la otra integral (J) luego entonces se forma la integral final (bien larga)que seria el resultado, y hago la resta usando pi/2 (b) menos la misma integral usando como valor el cero (a),, pero veo que vos reemplazaste en "I" un valor y en "J" otro valor.
Si me decis que valores usaste para reemplazar en cada integral ( i y J) me solucionas el tema. ademas de aclararme por que no resolviste la integral completa como yo y luego remplazaste los valores, gracias

En el ejercicio b):
Primero observa que el numerador tiende a cero, y que el denominador también tiende a cero, por lo que el límite es indeterminado.
Luego puedes investigar siguiendo caminos que pasen por el punto de estudio (0,0)
Camino1: y = 0 (eje de abscisas) Lím (x -->0) x^2 / x^2 = 1
Camino2: x = 0 (eje de ordenadas) Lím (y -->0) 0 /y^2 = 0
y como puedes apreciar, los caminos nos han conducido a resultados distintos, por lo que concluimos que el límite no existe.
Espero haberte ayudado.