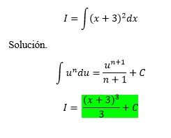
Tengo una intregral(x+3)^2 la puedo resolver aplicando la formula q dice q una f^n x su derivada es igual f^n+1\n+1. Me podrian aclarar esto????

Una manera de designar a los números naturales impares es: x = 2n +1, con n>= 0, n es un número natural.
El siguiente número natural impar es igual a: y = 2n +1 +2 = 2n + 3.
Luego, a partir del enunciado tenemos:
x^2 + y^2 = 1570
reemplazamos y queda.
(2n + 1)^2 + (2n + 3)^2 = 1570
desarrollamos los binomios elevados al cuadrado y queda:
4 * n^2 + 4n + 1 + 4 * n^2 + 12n + 9 = 1570
reducimos términos semejantes y queda:
8 * n^2 + 16n + 10 = 1570
hacemos pasaje de término y reducimos, y llegamos a la ecuación:
8 * n^2 + 16n - 1560 = 0
dividimos en todos los términos por 8 y queda:
n^2 + 2n - 195 = 0
que es una ecuación polinómica cuadrática cuyas soluciones son:
n1 = -15 que no es un número natural, por lo tanto no es de interés para este ejercicio,
n2 = 13 que pertenece al conjunto de los números naturales, y a partir de ella tenemos que los números naturales son:
x = 2*13 +1 = 26 + 1 = 27
y = 2*13 + 3 = 26 + 3 = 29 (observa que 27^2 + 29^2 = 1570, por lo que se verifica la relación del enunciado)
y el siguiente número natural impar es:
z = 29 + 2 =31.
Espero haberte ayudado.
Tengo que veriguar el area entre estas dos fuciones:
Y= senx
Y= -cosx
y dice en (0;pi) pero si se refiere a x=0 e y=pi entonces como hago? se refiere desde cero hasta pi? porque si se refiere al punto (0;pi) no le encuentro sentido

Debes tener en cuenta que para calcular valores de relaciones trigonométricas puedes sumar o restar múltiplos enteros de un giro (1 giro = 360°).
Tenemos entonces:
a) sen(37*360° - 30°) = sen(37*360° - 30° - 37*360°) = sen(-30°) = -sen(30°) = -1/2 (por identidad trigonométrica en la anteúltima igualdad)
b) cos(-5*360° + 120°) = cos(-5*360° + 120° + 5*360°) = cos(120°) = -1/2 (por reducción del segundo al primer cuadrante)
Con los otros dos puedes proceder en la misma forma.
Espero haberte ayudado.

Aplicamos la misma idea del ejercicio de más arriba, veamos como ejemplo el ejercicio d), en el que tenemos a = 3895°:
primero observa que podemos restar diez giros completos, y queda:
a1 = 3895° - 10*360° = 3895° - 3600° = 295° que pertenece al intervalo [0 , 360°)
luego podemos restar un giro adicional y queda:
a2 = 295° - 360° = -65° que pertenece al intervalo (-180° , 180°]
Espero haberte ayudado.

Observa que puedes multiplicar en todos los términos por 12, que es el Mínimo Común Múltiplo entre los tres denominadores, lo haces y la ecuación queda:
-2(2x - 1) +3(5x - 2) = 6(x- 1)
luego puedes distribuir en cada término y queda:
-4x + 2 + 15x - 6 = 6x - 6
luego reduces términos semejantes en el primer miembro y queda:
11x - 4 = 6x - 6
luego haces pasaje de términos y queda:
11x - 6x = -6 + 4
luego reduces términos semejantes y queda:
5x = -2
y por último haces un pasaje de factor como divisor y llegas a:
x = -2/5.
Es muy conveniente verificar la validez de la solución reemplazando este resultado en la ecuación original.
Espero haberte ayudado.
Hola, que tal?
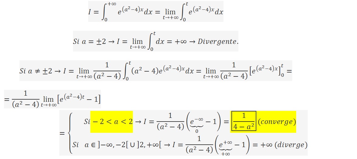
tengo un ejercicio de un examen final que no me sale, es una integral impropia entre 0 y +∞ de e∧(α²-4)x
Hay que verificar α tal que esa integral sea convergente.
si me pueden responder se los agradecería muchísimo ya que el lunes rindo y tengo esta duda. muchas gracias

Observa que la integral impropia entre 0 y +inf de e^(-x) es convergente, y en general ocurre lo mismo con e^(kx), con k < 0.
Por lo tanto, una condición es_
a^2 - 4 < 0
luego
a^2 < 4
luego
|a| < V(4)
|a| < 2
y concluimos:
-2 < a < 2.
Luego, solo queda resolver la integral impropia.
Espero haberte ayudado.

Puedes reescribir la ecuación, a partir de la propiedad de una potencia cuya base es otra potencia en el primer término:
(3^x)^2 - 3^x - 6 = 0
luego la sustitución: w = 3^x, reemplazas y queda:
w^2 - w - 6 = 0
que es una ecuación polinómica cuadrática, cuyas soluciones son: w1 = -2, w2 = 3
a) para w1 = -2 tenemos:
3^x = -2 que es absurda, porque la función exponencial siempre toma valores reales estrictamente positivos
b) para w2 = 3 tenemos:
3^x = 3
3^x = 3^1
x = 1.
Espero haberte ayudado.