hola, en unicoos no tienen videos de fracciones parciales o funcion demanda ???? gracias

Son integrales, pero, hace referencia a fracciones parciales ...
Integral racional en fracciones simples 03
Integral racional en fracciones simples 01
Integral racional en fracciones simples 02

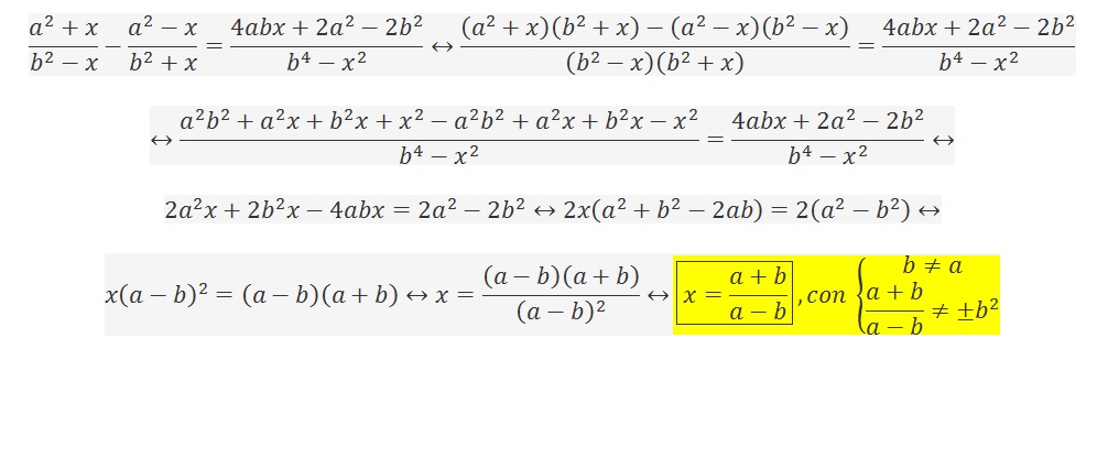
Al ser una resta con diferente denominador se debe hacer lo siguiente:
1. El producto de los denominadores nos da el denominador de la fracción resultante
2. Se multiplica en cruz para obtener el numerador
Siguiendo lo anterior tenemos que:
(a²+x)/(b²-x) - (a²-x)/(b²+x)=[(a²+x)(b²+x)-(a²-x)(b²-x)]/[(b²-x)(b²+x)]
Observa que el numerador es el productor de binomios conjugados, entonces nos queda:
[(a²+x)(b²+x)-(a²-x)(b²-x)]/(b⁴-x²)=[a²b²+(a²+b²)x+x² - a²b²+(a²+b²)x-x² ]/(b⁴-x²)=[(a²+b²)x+(a²+b²)x]/(b⁴-x²)=[2x(a²+b²)]/(b⁴-x²)
Es a lo mas que se puede llegar Cinthia...
Hola!
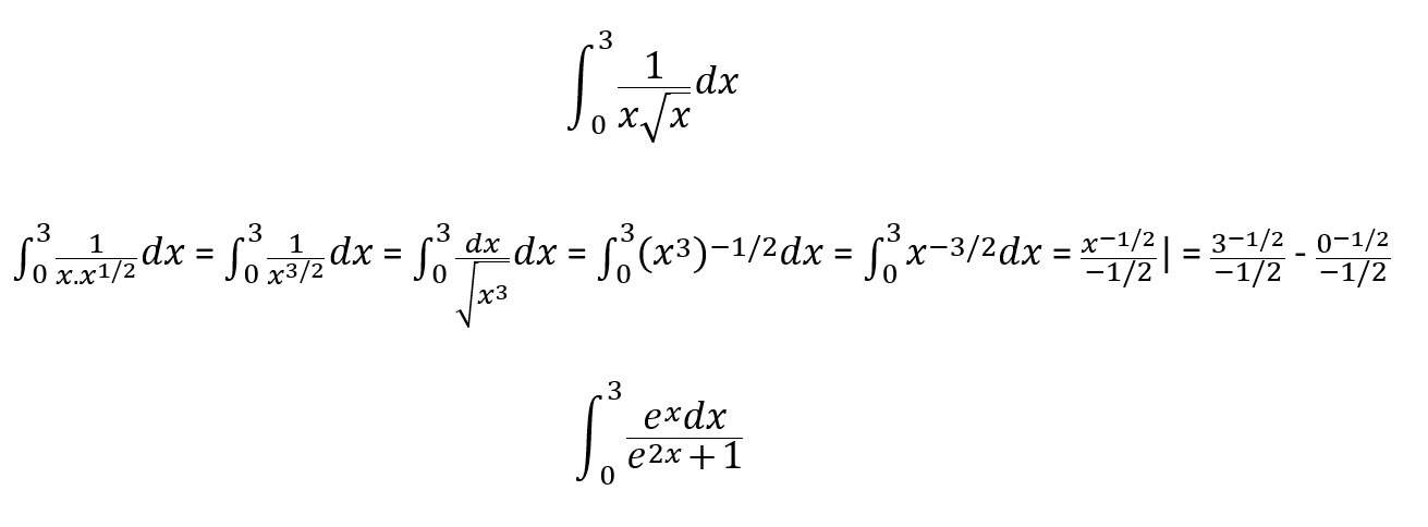
Necesito ayuda con estas dos integrales definidas. En la primera llegué a solucionarlo, pero calculo que tendré que hacerlo de otra forma, porque me termina quedando 0 elevado a -1/2,
La segunda integral es la que está debajo de los pasos que hice para resolver la primera.
Desde ya, gracias!