Hola unicoos, necesito ayuda en el ejercicio 68 en el apartado 3. El 1 y 2 los saque bien. Gracias de antemano ¡¡

a)Una vez que pruebas la suma directa del apartado 2, bastará que veas que (u_3 - u_4, -2u_3+u_4) es una base de Im(f).
b) Tienes que expresar el vector (1,1,1,1) como un vector de Im(f) + otro de Ker(f). Los coeficientes del primero en la base anterior son las coordenadas pedidas.
una duda, si f(x) =x g(x) donde g(x) es una funcion continua en x = 0 y no derivable en x = 0, ¿Cuánto vale f'(0)?

Puedes plantear para comenzar el incremento de la función:
f(0 +h) - f(0) = f(h) - f(0) = hg(h) - 0g(0) = hg(h) - 0 = hg(h).
Luego puedes plantear el cociente incremental:
(f(0 +h) - f(0)) / h = hg(h) / h = g(h).
Y por último, la derivada por definiciòn:
f ' (0) = Lím (h --> 0) (f(0 +h) - f(0)) / h = Lím (h --> 0) g(h) = g(0)
Observa que al ser g una función continua en x = 0, el último paso es válido.
Espero haberte ayudado.
Buen día unicoos. Me dan una mano con una integral algo dificultosa, no se deja vencer, y ya me lío xq se hace un poco extensa. Mi maestro me indico que la resuelva "Integrando por partes" .
∫ ln[bx-(ax)^(1/2)] dx
.Enserio necesito saber como resolverlo por favor. Gracias de antemano.
Saludos
Hola estimados amigos de unicoos, me pueden de favor ayudarme con un problema de calculo integral.
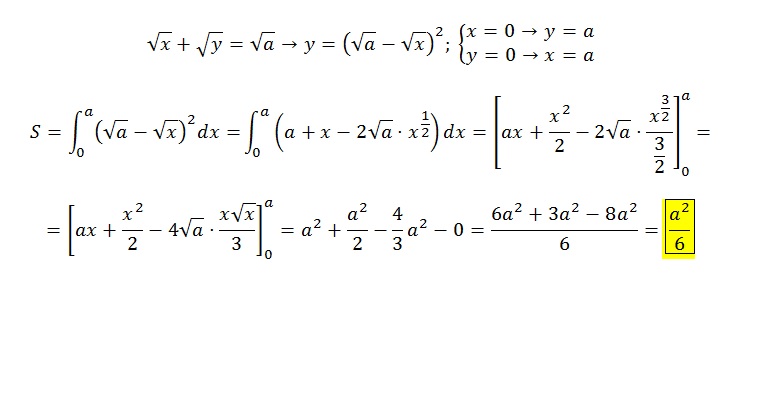
* Hallar el área limitada por los ejes coordenados y la parábola.
[x^(1/2)]+[y^(1/2)]=a^(1/2)
Muchisisisimas gracias de antemano.
Hola unicoo. Me pueden ayudar con el siguiente problema. Me piden hallar el área de la superficie limitada por la curva dada, el eje de las x y las ordenadas dadas-
Curva: xy=k² ; x=a y x=b
Solución=k² ln(b/a)
Gracias
Buenas!
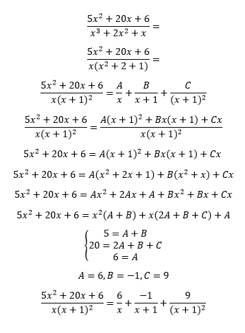
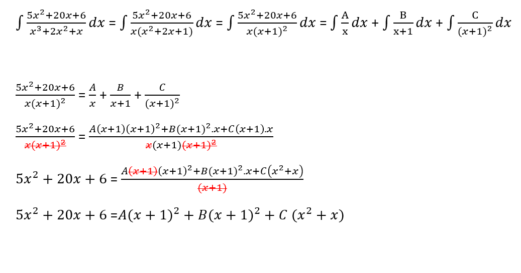
Tengo esta integral y llegué hasta este punto de resolución. El tema es que si reemplazo x por -1, anulo a A, B y C. Cómo lo termino?
Saludos

En la cuarta linea hice el Minimo Comun Multiplo, resolviendo esa suma de fracciones como (x+1) esta presente en "(x+1) al cuadrado" solo se escoge el mayor, despues de la cuarta linea a la quinta ambos lados de la igualdad multiplique por el denominador para que se simplifiquen en ambos lados, luego segui resolviendo he hice igualdad de polinomios lo que va alado de la x cuadrada es igual a lo que va alado de la x cuadrada lo que va alado de la x es igual a lo que va al lado de la x y asi, espero poder ayudarte. Suerte :)
hola alguien me puede ayudar con este ejercicio.
Chocolates Misky SAC es una empresa que produce dos tipos de chocotejas. El departamento de ventas determina que cuando se producen x cajas de chocotejas de pecanas y y cajas de chocotejas de limón diarias, entonces se puede generar utilidades definidas por
U(x ; y)=20x+9,6y-0,003x^2-0,055y^2 dólares diarios. En la actualidad, se producen M cajas de chocotejas de pecanas y N cajas de chocotejas de limón.
A) Modele la fórmula que permita obtener la utilidad marginal con respecto a la cantidad de cajas de chocotejas producidas.
B) Modele la expresión que permita calcular la variación aproximada de la utilidad al aumentar el número de cajas de chocotejas de pecanas, en ∆M y disminuir el número de cajas de chocotejas de limón, en ∆N.
C) Modele la expresión que permita calcular la variación real de la utilidad al disminuir una caja de chocotejas de pecanas, y aumentar dos cajas de chocotejas de limón.
preciso ayuda, probabilidad: las especificaciones para la produccion de cierta aleacion pide 23.2% de cobre, una muestra de 10 analisis dio una media muestral de contenido de cobre de 23.5% y un desvio tipico muestral de 0.24%.
a) con nivel de significacion de 5% verificar si el producto posee la especificacion requierida.
b) con el porcentaje medio muestral dicho calcular intervalo de confianza del 95% del porcentaje medio poblacional de cobre que tiene la aleacion, compara con el de a)
c) halla el valor p
muchas gracias