me pueden ayudar en este ejercicio por fa
(x-1)(x+2)-x+14=(2x-3)(x-4)

Debes separar en términos y distribuir productos, para comenzar:
x^2 + 2x - x - 2 - x + 14 = 2x^2 - 8x - 3x + 12
Luego reduces términos semejantes y queda:
x^2 + 12 = 2x^2 - 11x + 12
Luego cancelas términos y queda:
x^2 = 2x^2 - 11x
Luego haces pasaje de términos y al reducir términos cuadráticos queda:
- x^2 + 11x = 0
Observa que has llegado a una ecuación polinómica cuadrática incompleta, cuyas soluciones son:
x1 = 0
x2 = 11
Puedes verificar la validez de ambas soluciones reemplazando en cada caso en la ecuación inicial.
Espero haberte ayudado.
Hola, necesito ayuda con este ejercicio. Me dicen que: f es la relacion binaria en NxN dada por: f(n)=2n+1 y me piden que calcule f({2,4,8,16,...}) y f−1({1,2,3,4,6,10,15,21,45}). La primera es la imagen directa y la segunda es la imagen inversa pero no se como calcularlo, tendria que sustituir esos valores en la funcion?
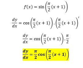
hola!!! me piden encontrar los extremos e intervalos de crecimiento y decrecimiento de de la función : sen^2 × utilizando el criterio de la primera derivada... como seria?? gracias desde ya!!

Precisemos la expresión de la función: f(x) = (senx)^2, observa que es una función continua con dominio R.
Luego vamos con su derivada primera (observa que debemos aplicar regla de la cadena):
f ' (x) = 2 * senx * cosx
Luego planteamos la condición de punto crítico (o singular, posible máximo o mínimo):
f ' (x) = 0
2 * senx * cosx = 0
hacemos pasaje de factor numérico como divisor y queda:
senx * cosx = 0
por ley de anulación de un producto, descomponemos en dos ecuaciones:
a)
senx = 0
luego por composición con su función inversa tenemos que:
x = arcsen(0)
x = 0, pi, 2pi,....
x = n*pi, con n perteneciente al conjunto de los números enteros.
b)
cosx = 0
luego por composición con su función inversa tenemos que:
x = arccos(0)
x = pi/2, 3p/2, 5pi/2,i,....
x = (2m + 1)*pi/2, con m perteneciente al conjunto de los números enteros.
Observa también que y = senx es una función periódica, al igual que y = cosx, por lo que debemos evaluar el signo de la derivada primera en puntos anterior, intermedios y posterior a: x = 0, pi/2, pi, 3pi/2 (observa que el siguiente, 2pi, vuelve a repetir valores).
Tomemos entonces como puntos de evaluación del signo de la derivada primera: -pi/4, pi/4, 3pi/4, 5pi/4 y 7pi/4 (recuerda que f ' (x) = 2*senx*cosx = sen(2x) por identidad trigonométrica):
f ' (-pi/4) = -1 < 0 por lo que f es decreciente en (-pi/2 , 0)
Observa que la gráfica de f presenta un mínimo en x = 0, con f(0) = 0
f ' (pi/4) = 1 > 0 por lo que f es creciente en (0, pi/2)
Observa que la gráfica de f presenta un máximo en x = pi/2, con f(pi/2) =1
f ' (3pi/4) = -1 < 0 por lo que f es decreciente en (pi/2 ; pi)
Observa que la gráfica de f preenta un mínimo en x = pi, con f(pi) = 0
f ' (5pi/4) = 1 > 0 por lo que f es creciente en el (pi ; 3pi/2)
Observa que la gráfica de f presenta un máximo en x = 3pi/2, con f(3pi/2) = 1
f ' (7pi/4) =-1 < 0 por lo que f e decreciente en (3pi/2, 2pi)
Y por tratarse de una función peródica, vuelven a repetirse esto cuatro casos al estudiar crecimiento y decrecimiento de la función en su dominio R.
Es muy conveniente que vayas siguiendo todos los pasos en un gráfico de la función.
Espero haberte ayudado.
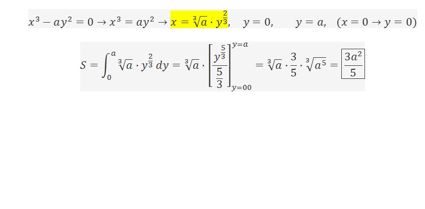
Buen día unicoos, denme una manita con el siguiente ejercicio de calculo de superficie. Debo hallar el área de la superficie límitada por la curva dada, el eje de las ordenadas y las rectas dadas.
x³-ay²=0 ;
y=0
y=a
Saludos
Hola amigos de unicoos, les pido de gfavor ayuda con otro problema de calculo integral.
*Demostrar que el área de un segmento cualquiera de parábola obtenido cortando la curva por una cuerda perpendicular al eje, es dos tercios del rectángulo cicunscrito.
Gravias de antemano.
Ayuda por favor, no logro hacer ese ejercicio, Deduce, sin efectuar la división y sin utilizar la calculadora,
el cociente y el resto de la división de 197 719 entre:
a) 341 y b) 578
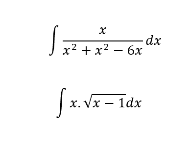
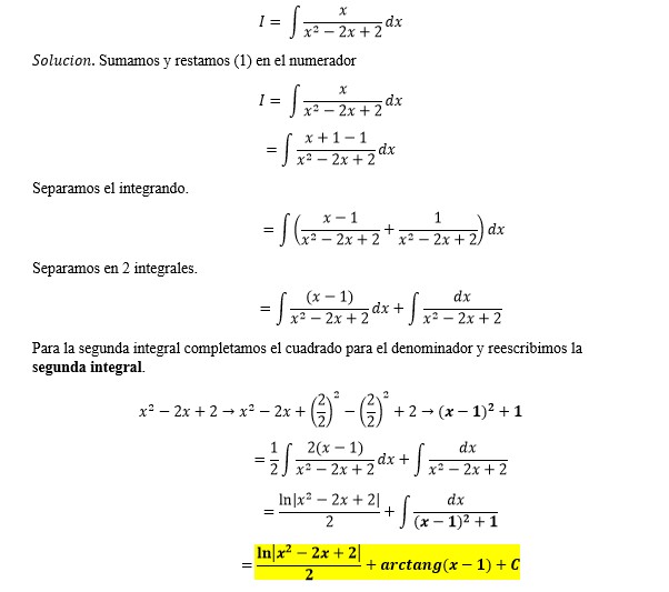
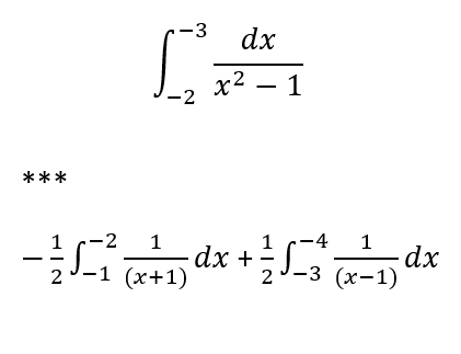
Hola! Tengo esta consulta con respecto a Integrales Definidas.
Tengo que calcular la integral que ven en la imagen. Después de trabajarla usando fracciones simples, etc, etc, llegué a lo que ven después del asterisco. El tema es que una vez que aplico la regla donde la resolución tiene la forma ln|x|+c, buenoo... no me queda algo decente.
Me ayudan a terminarla?

Lo siento pero no podemos haceros los deberes de 20 en 20...
Se trata de que DESPUES DE IR A CLASE (ver los vídeos relacionados con vuestras dudas) enviéis dudas concretas, muy concretas. Y que nos enviéis también todo aquello que hayais conseguido hacer por vosotros mismos. Paso a paso, esté bien o mal. No solo el enunciado. De esa manera podremos saber vuestro nivel, en que podemos ayudaros, cuales son vuestros fallos.... Y el trabajo duro será el vuestro. #nosvemosenclase Nos cuentas ¿ok?
Tienes decenas de vídeos de límites con todo lo que necesitas. Te sugiero les eches un vistazo...
Límites y Continuidad Límites y Continuidad