Foro de preguntas y respuestas de Matemáticas

logo beUnicoos
Los foros de unicoos se han unificado en nuestra nueva plataforma beUnicoos. Para dejar nuevas preguntas deberás hacerlo allí, donde además podrás encontrar nuevas asignaturas y herramientas para ayudarte más con tus estudios.

  • icon

    Julian Jerez
    el 26/7/16

    Me podrian ayudar con esta derivada, gracias

    replythumb_up0 voto/sflag
    icon

    Antonius Benedictus
    el 26/7/16

    Va, Julián:

    thumb_up1 voto/sflag
  • icon

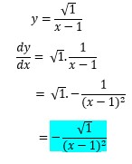
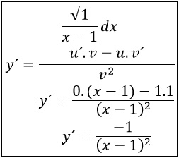
    aylen
    el 26/7/16

    hola!!!! me pueden ayudar con esto? como es la derivada de √1/×-1 ?

    replythumb_up0 voto/sflag
    icon

    Axel Morales Piñón.
    el 26/7/16

    Claro Aylen, te ayudamos

    thumb_up0 voto/sflag
    icon

    Desencadenado
    el 26/7/16

    consulta tus dudas

    thumb_up0 voto/sflag
  • icon

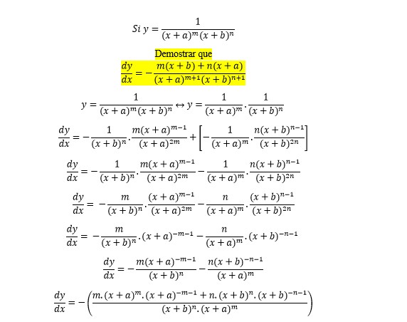
    Sebastián
    el 26/7/16

    Hola a todos. Me dieron una tarea para resolver, y no estoy muy seguro si lo que hice está bien o mal. Me gustaría, si por favor, alguien me pudiera decir si está bien o mal lo que hice. Y si está mal, que me pudieran explicar, este tipo de ejercicios realmente me cuestan mucho.
    Muchas gracias.
    Determinar los valores de a, b, c y d de manera que la función F satisfaga la hipótesis del teorema del valor medio en el intervalo cerrado (-1,2)

    replythumb_up0 voto/sflag
    icon

    Antonius Benedictus
    el 26/7/16

    Ahora, Lucas:

    thumb_up1 voto/sflag
  • icon

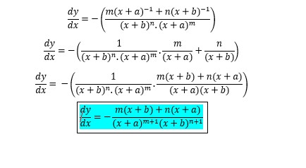
    marc
    el 26/7/16

    Hola Unicoos, me podrían ayudar con este ejercicio?
    quisiera saber cada paso

    replythumb_up0 voto/sflag
    icon

    Axel Morales Piñón.
    el 26/7/16

    Te ayudamos Marc;

    thumb_up0 voto/sflag
    icon

    Axel Morales Piñón.
    el 26/7/16

    En una segunda entrega Marc ...

    thumb_up1 voto/sflag
  • icon

    ana
    el 26/7/16

    hola unicoos, agradecería su ayuda con esta inecuacion 2|x-9|≥|x-9|

    replythumb_up0 voto/sflag
    icon

    Desencadenado
    el 26/7/16

    espero te sea util

    thumb_up0 voto/sflag
  • icon

    Franco
    el 26/7/16
    flag

    Me podrian realizar este gráfico del ejercicio 2)

    replythumb_up0 voto/sflag
    icon

    David
    el 1/8/16

    Sorry! Lamento de todo corazon no poder ayudarte, pero unicoos (por ahora) solo llega hasta bachiller con matemáticas, física y química. Tu duda se da en la "uni". Espero lo entiendas...

    thumb_up1 voto/sflag
  • icon

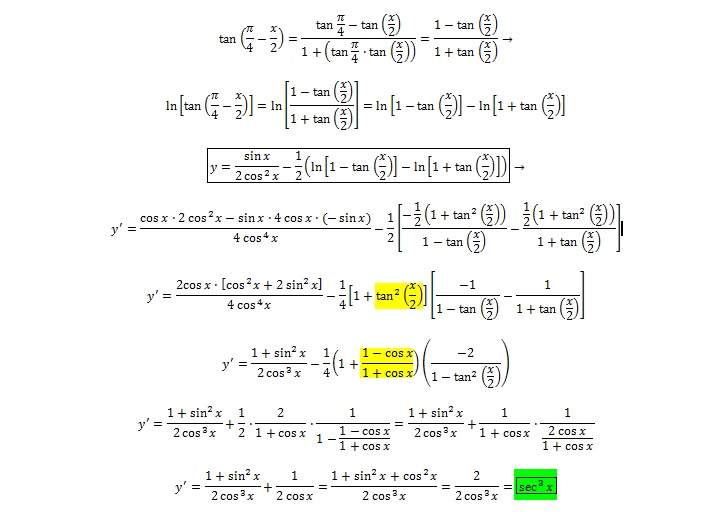
    Cris
    el 26/7/16

    Buenas noches, tengo dudas con los ejercicios de estudio de convergencia de series. Conozco los criterios pero no sé muy bien cuál he de utilizar en cada caso. ¿Me podríais ayudar por ejemplo con este? Agradecería también si pudieseis grabar un vídeo explicando los distintos ejemplos.

    replythumb_up0 voto/sflag
    icon

    Antonius Benedictus
    el 26/7/16

    Te explicamos, Laura:

    thumb_up0 voto/sflag
  • icon

    Jordi Ramos
    el 26/7/16

    Hola de nuevo necesito resolver este limite que me esta matando...limx→0 de 2x⁄senx

    replythumb_up0 voto/sflag
    icon

    Axel Morales Piñón.
    el 26/7/16

    Va Jordi:

    thumb_up0 voto/sflag
    icon

    Frank Rios
    el 26/7/16

    Va Jordi

    thumb_up0 voto/sflag
    icon

    Jordi Ramos
    el 26/7/16

    Usted estan siempre ayudando chicos ?

    thumb_up0 voto/sflag
    icon

    Axel Morales Piñón.
    el 26/7/16

    Si mis conocimientos lo permiten, sí Jordi :-) para mí es un placer ayudar

    thumb_up0 voto/sflag
    icon

    Frank Rios
    el 26/7/16

    Siempre que tengo tiempo estoy por aqui y si puedo ayudar ayudo

    thumb_up0 voto/sflag
  • icon

    Rocio
    el 26/7/16

    hola unicoos necesito su ayuda con urgencia, no puedo resolver este ejercicio

    replythumb_up0 voto/sflag
    icon

    Frank Rios
    el 26/7/16

    Va Rocio

    thumb_up0 voto/sflag
  • icon

    Jordi Ramos
    el 26/7/16

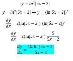
    Hola me podrían ayudar con esta derivada....y=ln²(5x-2)

    replythumb_up0 voto/sflag
    icon

    Frank Rios
    el 26/7/16

    Va mi solucion

    thumb_up0 voto/sflag
    icon

    Axel Morales Piñón.
    el 26/7/16

    Claro, Jordi, te ayudamos:

    thumb_up0 voto/sflag