Foro de preguntas y respuestas de Matemáticas

logo beUnicoos
Los foros de unicoos se han unificado en nuestra nueva plataforma beUnicoos. Para dejar nuevas preguntas deberás hacerlo allí, donde además podrás encontrar nuevas asignaturas y herramientas para ayudarte más con tus estudios.

  • icon

    Sandy Murillo S...
    el 27/6/16

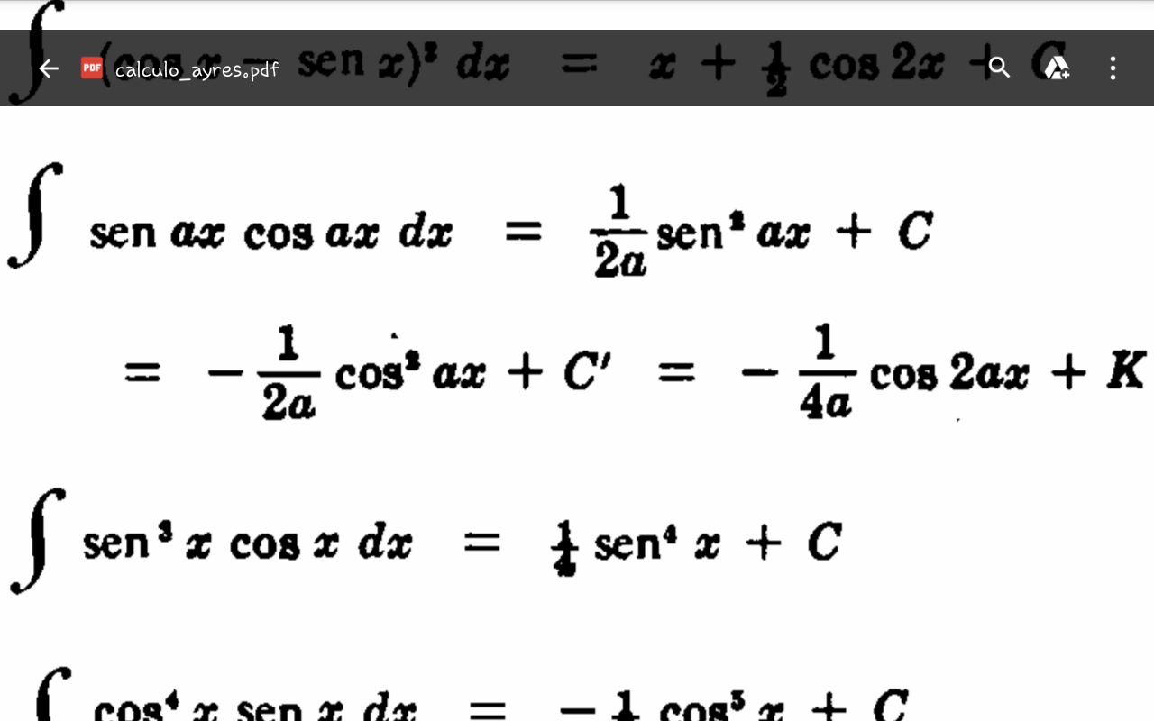
    Hola amigos de unicoos quisiera que brinden vuestra ayuda en el aiguiente problema de integrales, no se que es esa K que me aprece en la solución, ayudenme con la solu ión de antemano mil gracias.

    replythumb_up0 voto/sflag
    icon

    Antonius Benedictus
    el 27/6/16

    A partir de las identidades trigonométricas:
    sin^2(ax)=1-cos^2(ax)→C'=C+(1/2a)
    cos(2ax)=2cos^2(ax)-1→K=C'-(1/4a)

    thumb_up0 voto/sflag
    icon

    Axel Morales Piñón.
    el 27/6/16

    Va la siguiente Sandy

    thumb_up0 voto/sflag
  • icon

    Vanessa
    el 27/6/16

    Hola Unicoos. Me podrían echar una mano con este ejercicio. Gracias de antemano. Saludos.

    replythumb_up0 voto/sflag
    icon

    Fiodor El Gato
    el 27/6/16

    Tienes que saber operar con potencias de misma base. También ten en cuenta que cuando una potencia tiene exponente negativo, se pone en el denominador con el signo cambiado. Y por último, cuando divides dos potencias de misma base, restas los exponentes. Si te queda el exponente negativo, ponlo en el denominador. Espero que te haya ayudado

    thumb_up0 voto/sflag
  • icon

    vanny
    el 27/6/16
    flag

    ayuda con la 5 y 6 por favor

    replythumb_up0 voto/sflag
    icon

    David
    el 30/6/16

    Para el 6 se trata de derivar y sustituir luego t por 9...
    En cuanto al 5, se trata de un ejercicio de razon de cambio (mexclado con un poco de economia). Siento no poder ayudarte en ese caso, espero lo entiendas...

    thumb_up0 voto/sflag
  • icon

    Edgar J
    el 27/6/16

    Hola, me podrían decir solamente que tipo de ecuación diferencial es. ydx+(3+3x-y)dy

    replythumb_up0 voto/sflag
    icon

    JBalvin
    el 27/6/16

    Edgar te falta poner una igualdad

    thumb_up0 voto/sflag
  • icon

    vanny
    el 27/6/16

    ayuda con la 1 por favor derive 2 veces pero no se que mas hacer

    replythumb_up0 voto/sflag
    icon

    Axel Morales Piñón.
    el 27/6/16

    Una vez hallada la segunda derivada, igualas a cero la función y resuelves la ecuación :-)

    thumb_up0 voto/sflag
    icon

    Rafael Guerrero Gonzalez
    el 27/6/16

    Y=(x-4)^4*(x+3)^3
    Y'=[4(x-4)^3][3(x+3)^2]
    Y"=[12(x-4)^2][6(x+3)]

    [12(x-4)^2][6(x+3)]=0
    x≠4 y x≠-3

    Siendo los puntos 4 y -3 los pts q sastifacen y"=0.

    Al igualar la 2da derivada a 0 se encuentran los puntos de inflección en una f(x).

    Espero q te haya sido de ayuda.

    thumb_up0 voto/sflag
  • icon

    Cristian
    el 27/6/16

    Para averiguar los intervalos de crecimiento y decrecimiento, localizar máximos y mínimos en una funcion utilizando la primer derivada, resulta que al derivar me queda un polinomio de tercer grado y ningun valor sin x, osea solo, como hago para averiguar alli el valor del punto crítico? 4x^3 - 12x^2 + 8x

    replythumb_up0 voto/sflag
    icon

    Rafael Guerrero Gonzalez
    el 27/6/16

    Luego de realizar la primera derivada tiene q igualarla a 0 para encontrar los pts críticos.
    y'=12x^2-24x+8

    12x^2-24x+8=0
    4(3x^2-6x+2)=0
    Yo lo resolví por cuadrática y me da aproximadamente 1,6 y 0,4, esos serian los puntos críticos, luego los puntos críticos los remplaza en la ecuación inicial 4x^3 - 12x^2 + 8x, para encontrar los valores máximos y mínimos.
    Para saber si es un máximo o mínimo tendrá q hacer la 2da derivada y remplazar lo puntos críticos (1,6 y 0,4) si el valor es positivo es un mínimo y, si es negativo es un máximo.
    Espero haber ayudado.

    thumb_up0 voto/sflag
    icon

    Cristian
    el 27/6/16

    Disculpa que no me exprese bien, la ecuacion que puse al final es la derivada de la original, de ahí el problema para saber los puntos criticos, sabes com lo puedo resolver?

    thumb_up0 voto/sflag
    icon

    Rafael Guerrero Gonzalez
    el 27/6/16

    y'=4x^3 - 12x^2 + 8x

    Por factor común:
    4x(x^2-3x+2); Luego factoriza.
    4x(x-1)(x-2)=0; E igual a 0.
    x≠0, x≠1 y x≠2; Siendo estos sus puntos críticos.
    y hace el mismo procedimiento que mencione antes, los pts críticos los remplaza en la función inicial, supongo q es esta ''x^4-4x^3+4x^2+c'' para así encontrar en que coordenada están los máximos y mínimos.
    Para saber si es un máximo o mínimo tendrá q hacer la 2da derivada y remplazar lo puntos críticos(1 y 2) si el valor es positivo es un mínimo y, si es negativo es un máximo.

    Adjunto imagen de como calcular los intervalos de crecimiento y decrecimiento, también de hay puede hallar si es un máximo o mínimo.

    thumb_up0 voto/sflag
    icon

    Cristian
    el 29/6/16

    Muchas gracias Rafael, viendo lo que me escribiste y con algunos videos ya queda mucho mas claro el tema, tengo otra consulta que es como igualo a cero estas derivadas, la verdad no encuentro por ningun lado com hacerlo: -2/(x-2)^2 y la otra es 2x/(x^2 + 1)^2 si me pueden ayudar la verdad les agradeceria mucho.

    thumb_up0 voto/sflag
  • icon

    Alejandro Colocho
    el 27/6/16

    Tengo 2 dudas con el tema de las derivadas
    1. en la derivada de y=(x^2+a^2)^5 hay una parte en que se hace por cadenas y que 5(x^2+a^2)^4*(x^2+a^2) y la a^2 da cero no tendría que dar 2a?
    2) En la imagen el ejercicio lo copie de el profesor y no entendi como la x de la raizde 1-x^2/ x paso a ser x-subcero

    replythumb_up0 voto/sflag
    icon

    Cristian
    el 27/6/16

    Que alguien me corrija, pero al ser "a"una constante la derivada es cero. En la segunda consulta no sabria que decirte.

    thumb_up0 voto/sflag
    icon

    Alejandro Colocho
    el 27/6/16

    Si esto acabo de estar viendo y si actuaria como constante, gracias.
    Y solo en la segunda es que no se que hizo

    thumb_up0 voto/sflag
    icon

    Rafael Guerrero Gonzalez
    el 27/6/16

    y=(x^2+a^2)^5 ; y’=5(x^2+a^2)^4*(2x)
    Como dijo Cristian la ''a'' es una costante y su derivada es 0.

    Y la X q paso a Xsubcero, depronto sea un error, pues la Xsubcero y Ysubcero fueron remplazadas por el punto o coordenada q le dieron y, ''m'' fue remplazada por la 1mer derivada(pendiente).

    thumb_up0 voto/sflag
  • icon

    Alvaro
    el 27/6/16

    como se calcula el integral de e^(x)/x?

    replythumb_up0 voto/sflag
    icon

    JBalvin
    el 27/6/16

    Con esta función no puedes obtener una primitiva que se exprese como combinación de funciones elementales (esta integral no la vas a encontrar de la forma de la ompbinaion de un polinomio, función tirgonométrica, exponencial, logaritmo y trigonoétricas inversas)

    thumb_up0 voto/sflag
  • icon

    Mario
    el 27/6/16

    ALguien me ayuda con este.
    como puedo descomponer un factorial, para que me quede facil para reslver en un problema

    por ejemplo n! o n+1!
    alguien me diria como lo puedo descomponer para que me quede algo diferente, tipo desarrollado o algo, no se como se dice jeje

    graciasssssss

    replythumb_up0 voto/sflag
    icon

    JBalvin
    el 27/6/16

    n! =n*(n-1)*(n-2)*(n-3)*...*2*1
    (n+1)! =(n+1)*n*(n-1)*(n-2)*(n-3)*...*3*2*1

    thumb_up0 voto/sflag