Hi amigos.. saludos a todos.
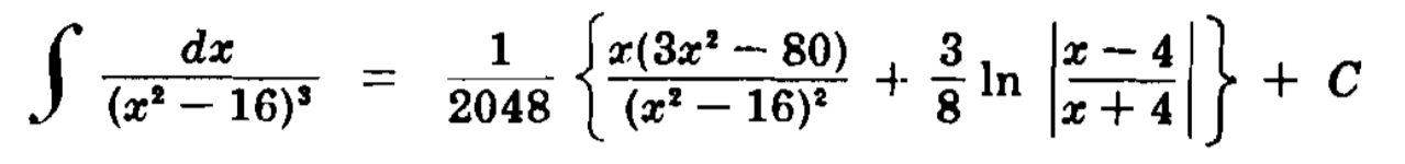
Quiero resolver la integral. Se me hace un poco complicada por el alto valor.
Ay6denme. Cuales son los pasos claves.
Gracias.

x²-16=(x+4)(x-4) por identidades notables...
Te toca dividir la integral en fracciones simples.. A/(x+4)+B/(X+4)²+C/(x+4)³+D/(x-4)+E/(X-4)²+F/(x-4)³
Como en estos vídeos.. Integrales racionales
Nos cuentas ¿ok?...
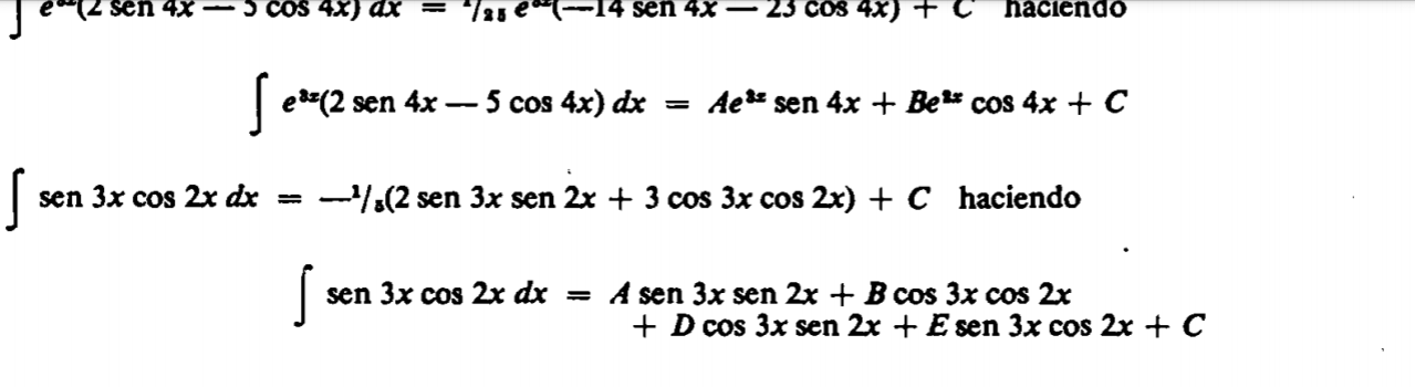
Hola unicos que tal, necesito que me ayuden a ver si es posible resolver una integral así, aplicando el método por partes... No como reolverla por culpa de la potencia..
Gracias de antemano. ATT:El Toby..
Hola me podrían ayudar por favor con un problema de razonamiento? Dice asì:
En un pequeño pueblo al noreste de Groenlandia llamado Nord, se ha implementado un sistema de horario estándar diferente al que es usado en el resto del mundo, debido a la falta de noches o días. El sistema lleva cuenta de las horas transcurridas desde el domingo a la medianoche, y utiliza el mismo contador para toda la semana. Por lo tanto, y a modo de ejemplo, las 12 del medio día del martes se conoce como las 36 horas de la semana o simplemente las 36:00. Adicionalmente, se sabe que la diferencia horaria entre Colombia y Nord es de 4 horas, y que Groenlandia se encuentra al oriente de Colombia.
1. Si en Nord se decide implementar una norma para no poder sacar el carro dos veces a la semana desde las 6 a.m. hasta las 8 p.m. y un carro no puede salir ni lunes ni miércoles, de las siguientes opciones, ese vehículo podría ser utilizado a las:
A. 06:00
B. 10:00
C. 54:00
D. 68:00
He intentado hacer lo siguiente: Hallar la cantidad de horas que tiene una semana, 7 x 24 = 168, y a esto restarle la suma de las horas que no puede salir el vehiculo, (24X2)+(14X2)=76; 168-76= 92, pero no está en las opciones, ayuda porfavor. Gracias.
Hola me podrían ayudar con este ejercicio de ecuaciones :X-√25-X²=1
Lo realice así pero no se si esta bien ni como continuar
X-√25-X²=1
(-√25 -X²)² = (1+X)²
-25 – X² = 1+X²
0= X²+1+25+X²
0 = x ^4+26
Hola buenas tardes,
Para iniciar la resolución del sistema, mejor siempre evitar los signos negativos delante de los radicales, así que mejor despejar la raíz cuadrada a la derecha y el uno a la izquierda del igual. Entonces, elevas los dos miembros de la ecuación al cuadrado para eliminar el radical. Continuando, debes hacer el binomio al cuadrado, que has hecho incorrectamente. Recuerda que (a + b)² = a² + b² + 2ab // (a - b)² = a² +b² - 2ab Entonces, te aparecerá una ecuación de segundo grado que debes resolver y los resultados son 4 y -3.
Un saludo,
Roger Monreal
Hola!. Calculé la derivada de la función f(X)=ln(2x+1) por regla de la cadena y me quedó: f´(X)= 1/(2xx-4). (2). Me pueden decir por favor si lo hice bien
Es posible resolver la integral que ezcribo sin emplear por partes?
Xq no enrreda un poquito ese método. AYUDENME EN ESTE CASO..
∫ [a^(1/2)][e^(bx)][ arc tang (bx)] dx
Hola de nueevo, disculpen por la continua ayuda que pido, pero los necesito, con otra integral mas, tengo la de tarea para hacer, es la miscelanea de integrales, en si he aprendido hasta integrar por partes... que ese experto me dé otra ayudita mas por favor. Gracias de antemano. Saludos