Foro de preguntas y respuestas de Matemáticas

logo beUnicoos
Los foros de unicoos se han unificado en nuestra nueva plataforma beUnicoos. Para dejar nuevas preguntas deberás hacerlo allí, donde además podrás encontrar nuevas asignaturas y herramientas para ayudarte más con tus estudios.

  • icon

    hugo
    el 28/5/16

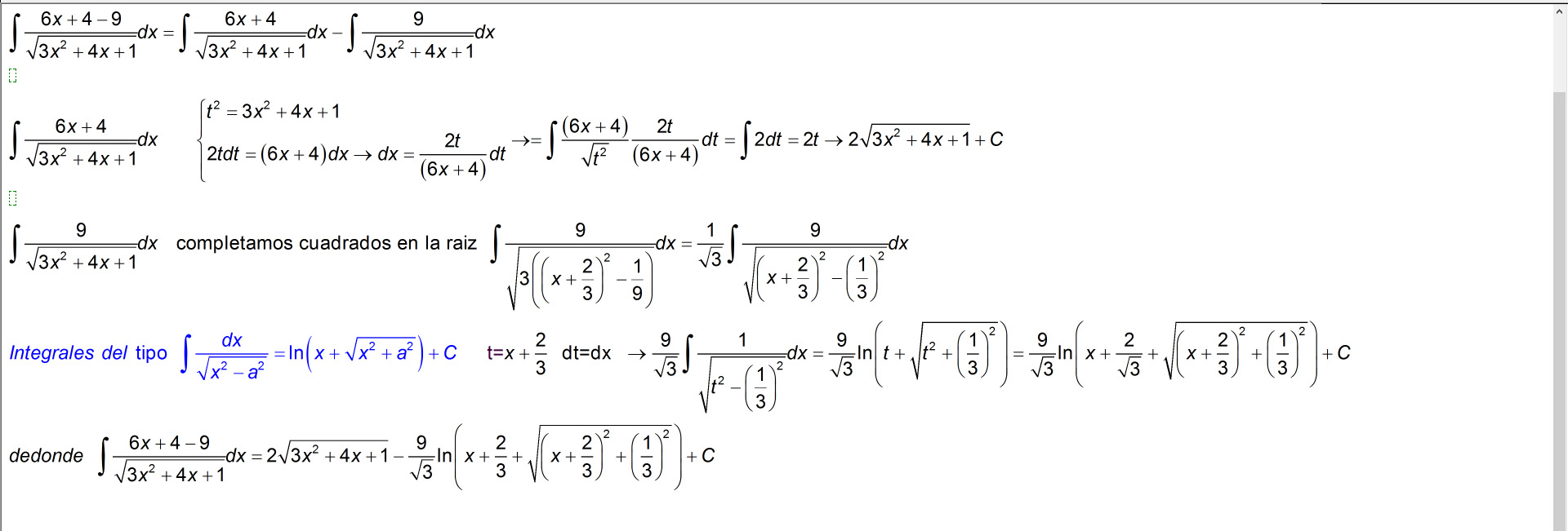
    unicoos podrian ayudarme por fabor con esta integral mañana tengo un examen redificil..........lo intentado hacer pero tengo duda con la respuesta

    replythumb_up0 voto/sflag
    icon

    César
    el 28/5/16

    Hugo yo la haria asi

    thumb_up1 voto/sflag
    icon

    Antonius Benedictus
    el 28/5/16

    Te la mandamos, Hugo:

    thumb_up0 voto/sflag
  • icon

    Kauzar
    el 28/5/16

    Tengo una duda, esto es lo mismo?
    cos^4(x)=cos^2(x) *cos^2(x)

    replythumb_up0 voto/sflag
    icon

    Antonius Benedictus
    el 28/5/16

    Cierto, Kauzar. ten en cuenta que cos^4(x) es una manera abreviada e internacionalmente aceptada de escribir (cos(x))^4.

    thumb_up0 voto/sflag
  • icon

    Andres Montoro Menor
    el 28/5/16

    Os pongo la funcion y todo lo que he calculado de ella. Pero no se como representar la gráfica, me pueden ayudar? Gracias.

    replythumb_up0 voto/sflag
    icon

    Antonius Benedictus
    el 28/5/16

    icon

    Andres Montoro Menor
    el 30/5/16

    Pero es función no tiene asintotas, entonces como seria?

    thumb_up0 voto/sflag
  • icon

    Alejandro Pozo
    el 28/5/16

    Hola, cada vez que monto un plano me sale el mismo plano de la solución pero multiplicado por -1, esta bien? La verdad es que a mi no me interesa que me salga multiplicado por -1 ya que necesito utilizar su vector normal para utilizarlo como vector director de otra recta. Hay alguna forma de que no me salga el plano multiplicado por -1?

    replythumb_up0 voto/sflag
    icon

    Antonius Benedictus
    el 28/5/16

    Si toda la ecuación queda multiplicada por (-1), está perfecto:
    A=0↔(-1)·A=(-1)·0↔-A=0

    thumb_up0 voto/sflag
  • icon

    David
    el 28/5/16

    Mi problema es el apartado b) de este ejercicio, sospecho que con porcentajes o sistema de ecuaciones se podría hacer pero no estoy seguro.

    replythumb_up0 voto/sflag
    icon

    César
    el 28/5/16

    felipe 10 17,4 -7,4
    juanan 20 17,4 2,6
    maria 7 17,4 -10,4
    pepa 50 17,4 32,6
    carlos 0 17,4 -17,4
    Media 17,4
    los negativos deben dinero al grupo, los positivos reciben dinero

    thumb_up0 voto/sflag
  • icon

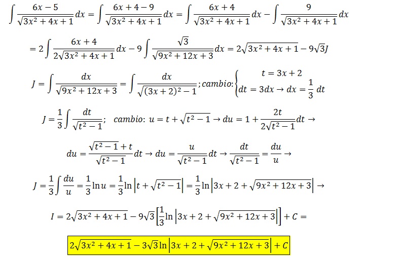
    Silvana
    el 28/5/16

    por favor ayuda en este ejercicio, es de un parcial y no se hacer. gracias

    replythumb_up0 voto/sflag
    icon

    Mario García García
    el 28/5/16

    Tendrá 16 cubos porque se va agregando según la funcion f(x)=2^x, pues si te das cuenta en la figura 2 tienes 4 cubos, en la figura tres tienes 2^3 en la figura 4 tienes 2^4=16. Así pues la figura n tendrá f(n)=2^n ⇔n∋N, n≥0.

    thumb_up1 voto/sflag
  • icon

    Mario
    el 28/5/16

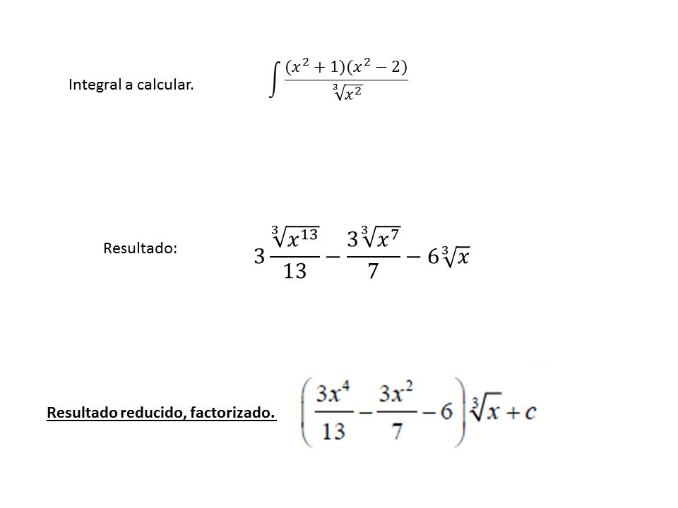
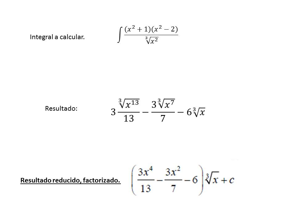
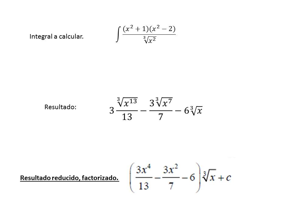
    Hola, alguien me puede ayudar con este ejercicio de integrales, la integral que me proponen calcular es la que indica la imagen, la cualcule y llegue a ese resultado, pero me gustaria sacar la raiz cubica de x, de factor comun y llegar al ultimo resultado, y no se como hacerlo. ALguien me da una mano con las propiedades y esas cosas?


    Gracias...

    :)

    replythumb_up0 voto/sflag
    icon

    mikel
    el 28/5/16

    Aqui tienes
    Saludos

    thumb_up1 voto/sflag
    icon

    Mario
    el 28/5/16

    Genial mikel muchas gracias!!!!!!!!!

    thumb_up0 voto/sflag
  • Usuario eliminado
    el 28/5/16

    Unicoos!! Podrían ayudarme con este ejercicio? Ya investigué.. pero no sé cómo resolverlo.. se agradece!

    replythumb_up0 voto/sflag
    icon

    Javier
    el 28/5/16

    Hola Araceli,
    debes tener dos vectores y un punto para poder sacar la ecuación. Tienes tres puntos, de modo que puedes crear los vectores a partir de dos puntos (MN, NÑ, o el que quieras) y luego utilizar uno de esos puntos para obtener la ecuación (debes utilizar los tres puntos de alguna manera). Una vez que tengas eso creas una matriz del estilo que te mando en la imagen, calculas su determinante, simplificas y ya está.
    Un saludo.

    thumb_up0 voto/sflag
  • icon

    Marco Antonio
    el 28/5/16

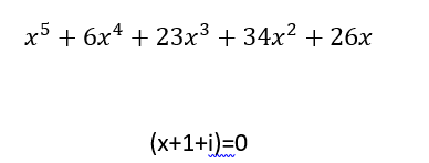
    Hola me piden comprobar que (x+1+i) es raíz del polinomio, y si es, pero no se si se puede hacer la comprobación con división sintética; como se hace división sintética con números complejos

    replythumb_up0 voto/sflag
    icon

    Mario
    el 28/5/16

    Ruffini, es un buen metodo, o sino podes aplicar (z-(a+bi)(z-(a-bi) . Si no recuerdo mal esa era una formula para poder encontrar un polinomio para dividir por el que te da. originalmente. si lo desarrollas te da z^2 -2az +a^2+b^2. de igual forma aplica distributiva y verificalo.
    Capaz eso te encamina mas en el ejercicio

    es decir, si aplicas esa formula, podes encontrar iun polinomio , lo dividis por el que tenes.

    thumb_up0 voto/sflag
  • icon

    Alma Bibiana Villalobos García
    el 28/5/16

    Yo nada más quiero saber ¿Cómo llego a esos resultados?
    por favor, por favor, por favor por favor

    replythumb_up0 voto/sflag
    icon

    Mario
    el 28/5/16

    quizas, alguna propiedad trigonometrica. es lo primero que se me paso por la cabeza, no se si estara bien

    thumb_up0 voto/sflag
    icon

    César
    el 28/5/16

    usa las formulas del sen (x+y) y cos(x+y)
    sen(x ±y) = sen x cos± y cos x sen y
    cos(x-y) = cos x cosy- sen x sen y

    thumb_up0 voto/sflag