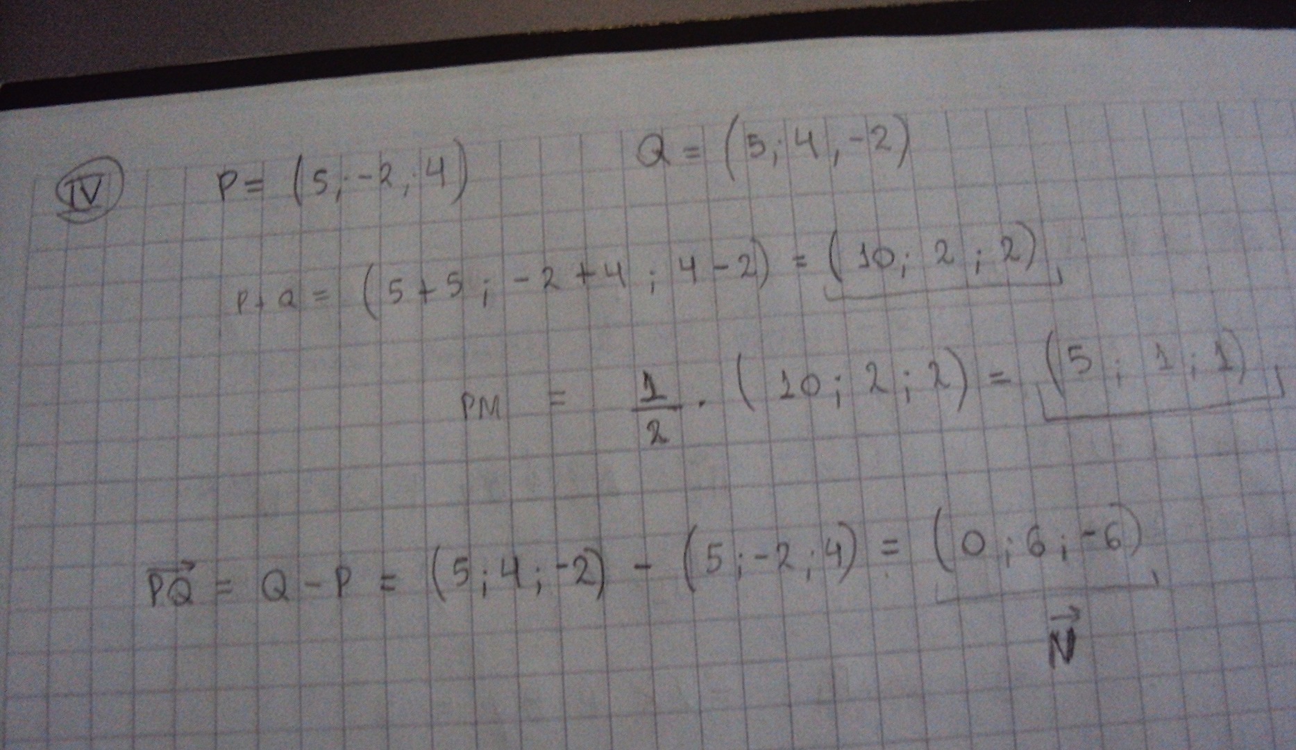
Hola Unicoos!! me podrían ayudar con este ejercicio? :Obtenga la ecuación de un plano que es perpendicular en su punto medio al segmento determinado por los puntos P=(5; -2; 4) y Q=(5;4; -2).
Hice las cuentas para obtener el punto medio y la normal, pero no sé cómo seguir... alguien me explica? Muchas gracias!
Hola Araceli,
es muy fácil. Solo tienes que crear la ecuación del plano con el punto y el vector y despejar el término independiente. Después con el vector (el vector normal de un plano es lo que multiplica a las incógnitas x,y,z) y el término ind. calculado ya sacas la ecuación del plano.
Te mando un ejemplo en una imagen.
Un saludo.
hola David he estado viendo video de confirmar la solución de un límite pero en este ejemplo que tengo no se que hacer cuando llego a la parte que tengo redondeada, se podría pasar la raiz de x mas 1 multiplicando al E y ya esta o como seria. Gracias.
Hola unicoos me pueden ayudar con este problema por favor:
Matías se recibió de ingeniero y en su trabajo le pidieron que diseñara una rotonda lo más grande posible, para un cruce de caminos alrededor de la misma (los caminos no pasan por dentro de la rotonda). Para construirla se deben expropiar los sectores circulares de las esquinas de los terrenos. Cerca del cruce se encuentra el pozo de agua de una finca, situado a 0,07 km al este y 30 m al norte del centro del mismo. El sector a expropiar debe llegar como máximo hasta una distancia de 10 m del pozo. Matías ubica en su tablero de dibujo el centro de la rotonda en el origen de coordenadas. ¿Cuánto puede medir como máximo el diámetro de la rotonda si los caminos son de 30 m de ancho?

Si nos envias al menos un dibujo e intentas empezarlo.. El trabajo duro tiene que ser el vuestro...
Te sugiero además estos vídeos... Optimización
Buen día unicoos, saludos cordiales. me podrían ayudar con el siguiente problema perteneciente a integrales, área de una superficie. E planteado el problemas de diversas maneras pero no logro llegar al resultado mostrado. agradezco de antemano por su tiempo. y les pido que si disponen de una guiá de ejercicios con respecto a ecuaciones diferenciales de primer orden, donde se aplique Euler, ricatii y bernoulli ademas "funciones de densidad de probabilidad", y "función de distribución normal". de verdad me serian de gran ayuda