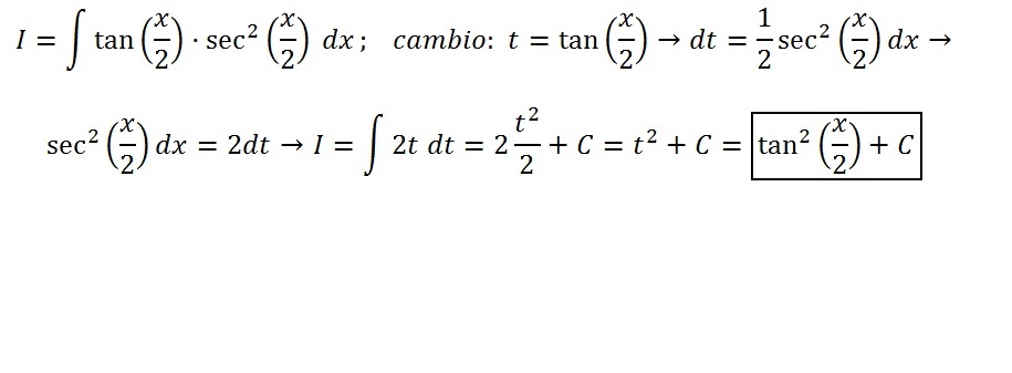
Hola maestros de unicoos hagan el favor de ayudarme con integrales inmediatas o también conocidas conocidas como indefinidas. Le doy vueltas al asunto pero no me da la respuesta
∫ tg (x/2) sec² (x/2) dx = tg² (x/2)+C
Gracias de antemano. Att: El Toby
Buenas tardes, me podríais ayudar con el planteamiento de este problema? Gracias!
78.En una tienda de ordenadores saben que, a 800 € la unidad, venden 60 unidades mensuales del modelo BESTIUM PLUS. Un estudio de mercado le indica que, por cada 50 € que aumente el precio, venderá 2 ordenadores menos. ¿A qué precio le interesa vender para obtener el máximo beneficio?
Vale, entonces si lo intento con la primera y segunda fila veo que son dependientes, pero que al hacer el determinante 2x2 de 1º y 3º veo que son independientes, pero si también lo intento con un determinante 2x2 de la 2º y 3º fila también son independientes, entonces cual de los dos conjuntos pongo como base?

Ya sabes que la dimensión de un subespacio vectorial es el rango de la matriz cuyas columnas son sus vectores generadores. Entonces, para determinar una base, cogerás las columnas que intervienen en el menor básico (distinto de cero) a partir del cual decides dicho rango. Hazlo y cuéntanos.
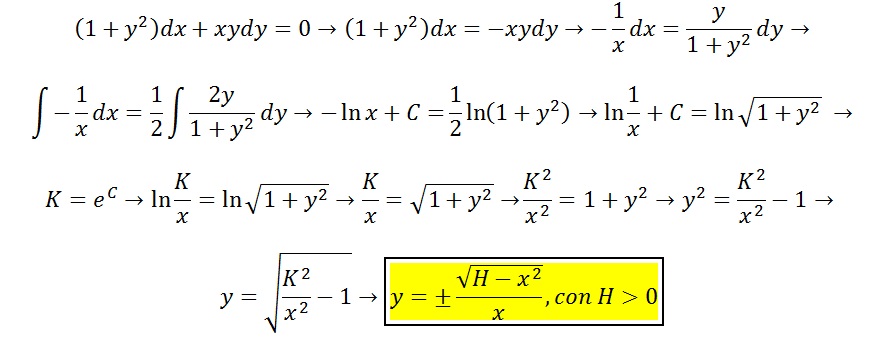
No se muy bien como despejar para tener ecuaciones diferenciales de variables separables y ya poder integrar en estos 2 casos:
1) (1+y^2)dx +xy dy =0
2) (1+y^2) (e^2x dx -e^y dy) - (1+y) dy =0
Para hacer el límite en x=3 creo que una de las igualdades > debería ser no estricta, es decir, ser igual o mayor/menor a tres. Si no es errata de enunciado, quizás debas hacer los límites laterales, ya que tres es el punto de cambio.
En el caso de dos, al ser menor que tres, corresponde al primer intervalo, por lo que debes calcular el límite de (2x+3)/3 cuando x-->2.
Espero servirte de ayuda.
dAy, los límites laterales de funciones a trozos se calculan dependiendo del valor de "x". Por ejemplo, la primera ecuación es válida si x<3, eso incluye a 2 tanto por la izquierda como por la derecha. Ahí y solo ahí calcularías los límites laterales
de x->2- y x->2+. En cambio, la segunda es válida si, y solo si, x>3. De modo que para calcular límite lateral de x->3 calcularías por la izquierda en la ecuación en que "x" pueda tener cualquier valor por la izquierda de 3, en este caso es en la primera ecuación y por la derecha en la segunda ecuación. No sé si me he explicado bien.
Aquí tienes una aplicación web para gráficas de funciones a trozos: https://www.desmos.com/calculator/ueqnbdgdch
Un saludo.
Hola Sara,
Debes saber que si un plano es perpendicular a una recta, el vector de dicha recta (Vr) será igual al vector normal del plano (n). Dicho vector es lo que multiplica las incógnitas (x,y,z) en la ecuación del plano x+y+z+d=0
Has de sacar el vector de la recta pasándola a paramétrica u otra ecuación que te sea fácil. Recuerda que para pasar de ec.general a paramétrica has de hacer reducción y asignar un parámatro a una incógnita y calcular a partir de ahí, el resto de incógnitas.
Dado el vector normal y un punto ya puedes calcular el plano metiendo el punto en la ecuación del plano de la siguiente manera: A=(0,1,2) -> n*0+n*1+n*2+d=0; (n es el vector normal que es igual a Vr)-> Calcula "d".
Un saludo.