¡Muy buenas, unicoos! Hoy vengo con una duda con el temario de cálculo diferencial. Os pongo el enunciado y os explico cuál es mi duda:
"Dada la función f(x) = ax^4 + bx + c , halla los valores de a, b y c para que la función f tenga un mínimo relativo en el punto (1, -1) y la recta tangente a la gráfica de f en x=0 sea paralela a la recta y=4x"
Yo deduzco del enunciado que en x=0 la derivada me tiene que valer 4, por ser la pendiente de una recta paralela a la tangente en ese punto... pero a partir de ahí no tengo claro cómo empezar; es decir ¿qué puedo deducir de que haya un mínimo e (1, -1)? Ando algo perdido con este ejercicio D:
¡Muchísimas gracias de antemano!
Buenas, no encuentro ningun video de series de numeros reales podrian explicar ese tema porfavor?
Gracias saludos.

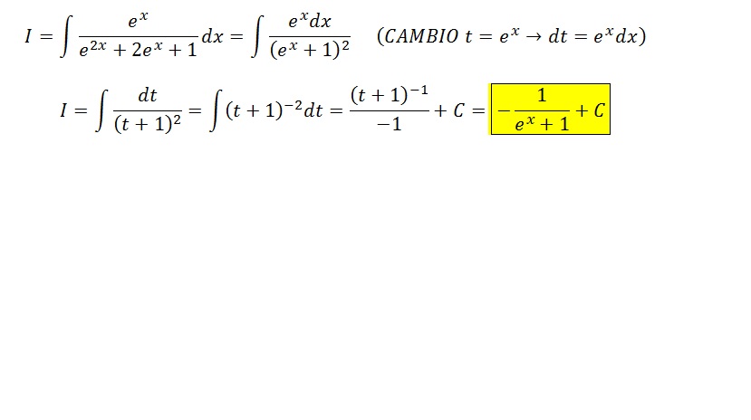
Porque sacas factor comun de e^(2x) y fijate que en la segunda expresion (la de la derecha) al hacer distributiva queda igual... Al sacar el factor comun de e^(2x y multiplicarlo por 3 y dividirlo por e^(2x te da 3 y al multiplicarlo por 1 te da e^(2x, eso es lo que se hace para tener la expresion de la derecha: factor comun.
Hola buenas tardes.
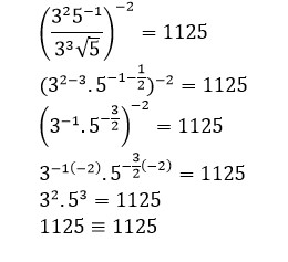
Me podrían ayudar con este ejercicio? [3² 5^‾1 / 3³ √5]‾² = 1125
Necesito el desarrollo , pero me he bloqueado y no se que hacer
Gracias por su atención.
Hola unicoos, me pueden ayudar con este ejercicio, solo se que debo cambiar las filas o columnas según corresponda pero no comprendo como operar las letras en la matriz(k -1, k-2, h+2 )¿ me pueden orientar en como resolverlo?. Gracias.
Muchas gracias, si no fuera mucha la molestia, podria explicarme el paso a paso. por lo que entendí realizo factorizacion ¿estoy en lo correcto?. Otra duda es de donde se obtuvo el -2 de la primera factorizacion y como pasaron a -1 y 1 respectivamente en la segunda factorizacion.