¡UPS! Para ver vídeos en la web debes estar registrado, es totalmente gratuito.

Recuerda además que sólo por ser unicoo, GRATIS, podrás dejar tus dudas en los foros de beUnicoos, acumularás energy y help points y ganarás decenas de medallas. Registrarte solo te llevará unos segundos. Nosotros somos unicoos ¿y tú? #nosvemosenclase

Ecuación diferencial de primer orden 01

Correspondiente a la UNIVERSIDAD, resolveremos una EDO (Ecuacion Diferencial Ordinaria) de primer orden de VARIABLES SEPARADAS del tipo f(x)=g(y) y'. Dado que nos dan como condicion inicial y(0)=e, podremos obtener tambien la solucion particular de nuestra ecuacion diferencial y hallar un valor para la constante de integracion.

Agregar a mi mochila
0/ 461

* Para utilizar tu mochila o guardar tu progreso y acumular energy points debes ser usuario registrado. Regístrate o inicia sesión

Foro de preguntas y respuestas

logo beUnicoos
Los foros de unicoos se han unificado en nuestra nueva plataforma beUnicoos. Para dejar nuevas preguntas deberás hacerlo allí, donde además podrás encontrar nuevas asignaturas y herramientas para ayudarte más con tus estudios.
  • icon

    Miquel Ricart Palau
    el 25/5/19
    flag

    Es un tema más bien algebraico, pero: ¿sabéís que son los "anillos de Hecke"?

    Lo cita Gina Kolata al hablar de la demostración de Wiles sobre la H. Fermat

    "El avance decisivo consistió en imaginar cómo unir entre sí un conjunto infinito de objetos matemáticos llamados anillos de Hecke”.

    He escrito un breve artículo sobre el tema en: https://ub.academia.edu/MiquelRicartPalau.

    Dice Wikipedia que En álgebra abstracta, un anillo es un sistema algebraico formado por un conjunto no vacío y dos operaciones internas, llamadas usualmente «suma» y «producto», que cumplen ciertas propiedades.

    Pero... ¿y  los Hecke? 

    Gracias y recuerdos



    No he podido enocntrarlo en Internet. Enhorabuena por vuestro éxito en youtube

    Miquel

    ricartpalau@gmail.com




    replythumb_up0 voto/sflag
    icon

    Breaking Vlad
    el 29/5/19

    Muchas gracias por el aporte,

    un saludo!

    thumb_up0 voto/sflag
  • icon

    brain nahuel
    el 13/5/19
    flag

    Buenas profe saludos desde argentina mi consulta es la siguiente ¿podrian hacer videos de resoluciones de ecuaciones diferenciales de 2do orden por metodo de coeficientes indeterminados ? 

    Saludos. 

    replythumb_up1 voto/sflag
    icon

    Breaking Vlad
    el 18/6/19

    Hola,

    este contenido se escapa de unicoos. De momento no tratamos nivel universitario.

    Un saludo

    thumb_up0 voto/sflag
  • icon

    Ander Gómez
    el 7/5/19

    Una ec diferencial puede tener mas de una solucion??  (Al hacerlo de dos metodos distintos) 

    replythumb_up0 voto/sflag
    icon

    Breaking Vlad
    el 18/6/19

    Hola Ander,

    no debería.

    thumb_up0 voto/sflag
  • icon

    LuzG
    el 7/3/19
    Flag pendiente

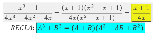
    Hola como se puede factorizar 

    (X +1) / (4x -4x2+4x)

    Gracias:)

    replythumb_up0 voto/sflag
  • icon

    María Acosta
    el 15/11/18
    flagflagflag

    Quiero saber si está bien el procedimiento y cómo terminarlo. 

    replythumb_up0 voto/sflag
    icon

    David
    el 20/11/18

    Hola! Me encantaría ayudarte, pero no respondo dudas universitarias que no tengan que ver específicamente con los videos que ya he grabado como excepcion. O de otras asignaturas que no sean matemáticas, física y química. Lo siento de corazón… Espero lo entiendas

    Ojalá algun unicoo universitario se anime a ayudarte (de hecho lo ideal es que todos los universitarios intentarais ayudaros los unos a los otros)

    Por otro lado...
    Para dudas que no tienen que ver explicitamente con lo que hago en un vídeo, lo ideal es que uséis el FORO GENERAL de matemáticas, física o química

    thumb_up1 voto/sflag
  • icon

    Bassi Diallo
    el 31/10/18
    flagflagflag

    hola profe es que estoy en la universidad la sorbona en Francia pero tengo mucho problema con la resolución de las problemas que me dan no tienen mucho tiempo para esplicar por pasos las problemas. 

    Me gustaría mucho que me esplique cómo resolver éstos problemas. 

    Por favor es muy importante por mi. 

    replythumb_up0 voto/sflag
    icon

    David
    el 2/11/18

    Tu duda es de química, está en frances... No puedo ayudarte, lo siento...

    thumb_up0 voto/sflag
  • icon

    eduardo viollier
    el 27/8/18

    Hola no se como resolver este tipo de problemas.

    replythumb_up0 voto/sflag
    icon

    David
    el 14/9/18

    Para dudas que no tienen que ver explicitamente con lo que hago en un vídeo, lo ideal es que uséis el FORO GENERAL de matemáticas, física o química

    thumb_up0 voto/sflag
  • icon

    Juan Pablo Garcia-Arias Vila
    el 4/6/18

    hay ejercicios de esto?? Gracias de antemano

    replythumb_up0 voto/sflag
    icon

    Antonius Benedictus
    el 4/6/18

    En nuestra página, no.

    thumb_up1 voto/sflag
  • icon

    Sergio
    el 16/3/18

    buenos dias profesor quisiera que me heche una ayuda con este modelo de examen en uno de sus videos saludos desde Bolivia

    replythumb_up1 voto/sflag
    icon

    David
    el 3/4/18

    Para vuestras dudas, mejor el foro general de matematicas. Abrazos hasta Bolivia

    thumb_up1 voto/sflag
  • icon

    pepi
    el 8/3/18

    Hola! Tengo una duda con la siguiente ecuación diferencial:

    Xraiz(X2 +1) dx-yey dy=0

    Solo se que es de variable separables y que los diferenciales deben de quedar arriba. Lo único que se me ocurre sería pasar el yey dy al otro lado del igual. ¿Ya podría integrar?

    Muchas gracias, y espero vuestra respuesta. Saludos!

    replythumb_up0 voto/sflag
    icon

    Antonius Benedictus
    el 8/3/18

    Y ya puedes integrar (el primer miembro respecto de x yel segundo, por partes, respecto de y).

    thumb_up1 voto/sflag
  • icon

    Fernando Amador
    el 4/3/18

    Me ayudarían con esta guía 


    replythumb_up0 voto/sflag
    icon

    Antonius Benedictus
    el 6/3/18

    Sube tus dudas CONCRETAS al foro de Matemáticas.

    thumb_up0 voto/sflag
  • icon

    Israel Hervias Higueras
    el 27/1/18

    Buenas tardes, me podrias recomendar algún libro de teoría y práctica de Ecuaciones diferenciales e Integrales para nivel universitario (grado de economía). Tras ver todos vuestros  videos una y otra vez, busco más ejemplos, resueltos a poder ser además de teoria para afianzar conocimiento y practicar. Muchas gracias de todos modos. y sobre todo, estáis haciendo un trabajo increíble no solo a nivel de bachillerato. Enhorabuena!!! AMAZING!

    replythumb_up0 voto/sflag
  • icon

    Iván
    el 25/9/17

    Hola, si la integral de -senx = cosx , la integral de senx = -cosx?

    Gracias.

    replythumb_up0 voto/sflag
    icon

    Antonius Benedictus
    el 26/9/17

    Correcto.

    thumb_up3 voto/sflag
  • icon

    Jos Riveros
    el 25/9/17

    Buenas noches, podrias decirme que es una derivada, pero de una manera sencilla ya que los conceptos que encontre no me quedan muy claros...gracias por responder.


    replythumb_up0 voto/sflag
    icon

    Guadalupe
    el 25/9/17

    Hola. La derivada es la pendiente de la recta tangente a la función. 

    thumb_up1 voto/sflag
  • icon

    Alexey
    el 17/9/17

    Hola, hay teoría de los números Complejos?

    replythumb_up0 voto/sflag
  • icon

    Tito Alvaro
    el 1/8/17
    flagflagflagflag

    y esta por favor es que no entiendo lo de ecuaciones diferenciales gracias

    replythumb_up0 voto/sflag
    icon

    David
    el 13/8/17

    Lo siento pero no puedo ayudaros con dudas de este nivel (universitario). Espero lo entiendas..

    thumb_up0 voto/sflag
  • icon

    Tito Alvaro
    el 1/8/17
    flagflagflagflag

    Por favor me podrías ayudar con este ejercicio ?? De antemano gracias

    replythumb_up0 voto/sflag
    icon

    David
    el 13/8/17

    Lo siento pero no puedo ayudaros con dudas de este nivel (universitario). Espero lo entiendas..

    thumb_up0 voto/sflag
  • icon

    Paula Ocaña Martín
    el 29/6/17

    Hola ¿podrías hacer un video explicando ecuaciones diferenciales lineales con Bernoulli y ecuaciones exactas?. Un saludo

    replythumb_up5 voto/sflag
    icon

    David
    el 12/7/17

    Tomo nota, pero por tratarse de contenidos universitarios no puedo prometerte cuando.. ANIMO!

    thumb_up2 voto/sflag
  • icon

    Álvaro García-Lago
    el 18/3/17

    Hola!

    Este video es lo mismo que la diferencial total de una función es que en mi libro es muy raro jajaja, por si ahi otro video que explique esto unicamente.

    Gracias, un saludo genios



    replythumb_up0 voto/sflag
    icon

    Antonius Benedictus
    el 18/3/17

    .

    thumb_up2 voto/sflag
  • icon

    Isaac Vargas
    el 16/3/17

    ¡Hola, David!


    ¿Podrías hacer un ejercicio sobre problemas de modelos lineales?


    Gracias.

    replythumb_up0 voto/sflag
    icon

    David
    el 12/4/17

    ¿algun ejemplo?...

    thumb_up0 voto/sflag
  • icon

    Facundo Quiroga
    el 2/2/17

    Hola Unicoos,

    Podrian agregar algunos videos mas sobre Ecuaciones Diferenciales? La parte de teoría cualitativa, Estabilidad de los sistemas lineales,

    Saludos

    replythumb_up1 voto/sflag
    icon

    David
    el 5/2/17

    Tomo nota, pero no puedo prometerte cuando caerán esas excepciones..

    thumb_up0 voto/sflag
  • icon

    Vanessa
    el 10/1/17

    Hola David

    En este vídeo después de resolver la ecuación diferencial, has dicho que podías pones que y= K·e^cosx

    Cuando impones que y(0)= e,  el valor de la K no seria 1? 

    Un saludo 

    replythumb_up1 voto/sflag
    icon

    David
    el 12/1/17

    Te sugiero lo revises más despacio...

    thumb_up1 voto/sflag
  • icon

    Ronald Hernández Torres
    el 30/9/16
    flag

    David si se presnta una situacion donde tengo sen(x+y+1) como por ejemplo en el siguiente ejercicio dy/sen(x+y+1)=dx, como debo hacer en esta situación

    replythumb_up0 voto/sflag
    icon

    David
    el 3/10/16

    Me encantaría ayudarte, pero no respondo dudas universitarias que no tengan que ver específicamente con los videos que ya he grabado como excepcion. Lo siento de corazón… Espero lo entiendas

    thumb_up0 voto/sflag
  • icon

    Alejandro
    el 13/9/16

    y como hago para verificar que la función encontrada es solución de la ecuación diferencial

    replythumb_up0 voto/sflag
    icon

    David
    el 14/9/16

    Sustituye "y" e "y'" en la ecuacion originial...

    thumb_up0 voto/sflag
  • icon

    Oliver
    el 23/8/16
    flag

    Buen día, espero me pueda ayudar con la corrección del siguiente ejercicio: y'=(2x+2xe∧y)/(e∧y+x²e∧y), luego de despejar variables me queda: ln(e∧y+1)=ln(x²+1)+C, a partir de acá comienza mi duda, ¿es suficiente dejarlo así o hay que despejar la variable "y" haciendo uso de las propiedades de logaritmos?. De ser necesario que la variable "y" tenga que ser despejada, obtengo la siguiente expresión: y=ln(x²k+k-1), la constante puede ir de esa forma? porque hago uso de las propiedades de logaritmos pero estoy lleno de dudas.
    Gracias de antemano por su ayuda profesor

    replythumb_up0 voto/sflag
    icon

    José Miguel
    el 24/8/16

    Hola Oliver, te recomiendo que esa duda la subas al foro de matemáticas ya que aquí difícilmente la verán las personas que pueden echarte una mano.

    thumb_up0 voto/sflag
  • icon

    Laura
    el 11/3/16
    flagflagflag

    Hola Profe.Me podria decir paso a paso como se resolveria esta equacion. y'=y+y^2e^x
    Gracias.

    replythumb_up1 voto/sflag
    icon

    David
    el 13/3/16

    Me encantaría ayudarte, pero no respondo dudas universitarias que no tengan que ver específicamente con los videos que ya he grabado como excepcion. Lo siento de corazón… Espero lo entiendas

    P.D. Si la dejas en el foro general de matematicas, es posible que otros unicoos se animen a echarte un cable..

    thumb_up3 voto/sflag
  • icon

    Raul Huapeo
    el 4/2/16

    Saludos profe...

    Podría existir la posibilidad de que hicieses videos del tema de la transformada de laplace e inversa de la transformada?

    replythumb_up0 voto/sflag
    icon

    David
    el 6/2/16

    Por ahora no, lo siento... ANIMO!

    thumb_up0 voto/sflag
  • icon

    Jhonatan ...Math
    el 27/1/16

    en el primer ejercicio cuando tenemos integrales con logaritmos el argumento siempre debe estar con valor absoluto ............ xD

    replythumb_up0 voto/sflag
    icon

    David
    el 28/1/16

    No, no tiene porqué... Eso se hace solamente para restringir el dominio

    thumb_up0 voto/sflag
  • icon

    Jose Guadalupe Trinidad Trujillo
    el 17/5/15
    flagflagflag

    hola profe me gustaría que pudiera hacer vídeos de Ecuaciones Diferenciales LIneales de primer orden de esta forma:
    y'+f(x)y=r(x)
    Funcion:
    y=e^-Sf(x)dx{Se^Sf(x)dx r(x) dx+C]
    S es integral
    Se lo agradecería mucho profe Gracias buenas tardes..

    replythumb_up3 voto/sflag
  • icon

    Eric Bustos Muñoz
    el 30/4/15
    flag

    Hola profe. Hoy vengo con otro problema que, aunque no lo crea, me ha dado muchos dolores de cabeza, me ha costado tanto entenderlo.
    Dice así: 7 ⁄ (³√6). La verdad es que tengo la respuesta, (7 ³√36 ) ⁄ 6, pero aún no logro entender cómo se llega a ella.
    Humildemente espero su ayuda.

    replythumb_up0 voto/sflag
  • icon

    Alejandro Salazar
    el 2/4/15
    flagflag

    Hola profe David, le saludo desde chile y lo felicito por su canal y sus videos es una genial iniciativa que nos brinda mucha ayuda, yo soy un seguidor de sus clases y he aprendido mucho con sus videos..
    Estoy en segundo año de ingenieria civil industrial y hay algunas materias que busqué en su canal pero no las encontré, todo lo referente a "Calculo multivariable", ya sabe limites, derivadas de funciones de varias variables. No hay videos de eso ?.. Bueno de antemano gracias..saludos

    replythumb_up0 voto/sflag
    icon

    David
    el 5/4/15

    No, sorry.... unicoos por ahora se queda en bachiller. ANIMO!!! Un abrazo!!

    thumb_up1 voto/sflag