Un peso de 10kg se sostiene del techo de un ascensor mediante una cuerda capaz de resistir 150N. Poco después de que el ascensor empiece a subir, la cuerda se rompe.
¿Cuál fue la aceleración mínima del ascensor?
¿La respuesta correcta es 15 m/s^2? ¡Muchas gracias!

¡Buenas! Intervengo en la conversación, si no es molestia.
1. Sí, T es la tensión que soporta la cuerda (el dato que te dan de 150 N).
2. Al resolver el ejercicio, Francisco ha tenido en cuenta no sólo la aceleración (A) en sí, sino que la ha subdividido en la aceleración causada por la gravedad (g = 10 m/s^2) y la aceleración causada por el ascensor (a). Al resolver el ejercicio, lo correcto es que tengas en cuenta también g, por eso da el resultado como la suma de g+a.
¡Espero que te haya servido!
Hola profe, me podrías ayudar con ese ejercicio? Es de un examen de 1º de universidad. Muchas gracias.

¿has visto este video?... Energia cinetica de ROTACION - Momento de inercia
Una vez en el plano horizontal, dado que no existe rozamiento, la energia mecanica es contante y se cumple que Ec=(1/2)m.v² = Epe= (1/2)k.x² siendo "v" la velocidad que tiene al final del plano y "x" la distancia que se ha comprimido el muelle
Un peso de 10kg se sostiene del techo de un ascensor mediante una cuerda capaz de resistir 150N. Poco después de que el ascensor empiece a subir, la cuerda se rompe.
¿Cuál fue la aceleración mínima del ascensor?
¿La respuesta correcta es 15 m/s^2? ¡Muchas gracias!

Tensión -Peso= m.a ........ 150 - 10.9,8 = 10.a...
Te sugiero.. FISICA Segunda Ley de Newton DINAMICA fuerzas unicoos
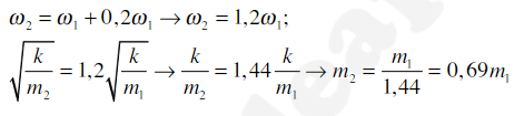
Hola, unicoos, tengo un problemilla con este enunciado: A un resorte de constante k se le une una masa m y se le hace oscilar. ¿Cuánto debe variar la masa m para que la frecuencia angular aumente en un 20%?
¿Podríais ayudarme? Graciaaas.

Me encantaría ayudarte, pero no respondo dudas universitarias que no tengan que ver específicamente con los videos que ya he grabado como excepcion. O de otras asignaturas que no sean matemáticas, física y química. Lo siento de corazón… Espero lo entiendas
Ojalá algun unicoo universitario se anime a ayudarte (de hecho lo ideal es que todos los universitarios intentarais ayudaros los unos a los otros)
Hola, me pueden decir cual es mi falla en el ejercicio 3.18?
Tiene que dar v = (5*g*L)^(1/2)
Muchas gracias!!

Te sugiero este video... Giro vertical
A partir de ahí, me encantaría ayudarte, pero no respondo dudas universitarias
que no tengan que ver específicamente con los videos que ya he grabado como
excepcion. O de otras asignaturas que no sean matemáticas,
física y química. Lo siento de corazón… Espero lo
entiendas
Ojalá algun unicoo universitario se anime a ayudarte (de hecho lo ideal es que todos los universitarios intentarais ayudaros los unos a los otros)
Buenas tardes,
Estoy con un ejercicio de 1º de Universidad de Física que no consigo sacar.
Se trata de lo siguiente: Se lanza un objeto desde un punto (A) a otro (B), que están a la misma altura y a una distancia de 10000 metros.
Hay viento a nuestro favor con una aceleración de 2m/s^2 en el eje horizontal.
Se lanza con un ángulo de 60º. ¿Cual es la velocidad inicial para que llegue del punto A al punto B?
Después de investigar un poco he llegado a la conclusión de que tanto en el eje X (dado a el viento) como en el eje Y tenemos un movimiento rectilineo uniformemente acelerado. La cuestión es que no se si es porque he puesto mal las aceleraciones o qué, que no consigo dar con el resultado correcto..
Tiene que dar 293m/s, a ver si conseguís sacarme del apuro... :(
Muchísimas gracias de antemano.
Vx=Vox+ax*t
x=xo+Vox*t+(1/2)*ax*t^2
Vy=Voy+ay*t
y=yo+Voy*t+(1/2)*ay*t^2
xo=yo=0
Vox=Vo*cosA
Voy=Vo*senA
ax=2m/s^2
ay=-10m/s^2
Vox=Vo*cosA+2*t
xo=Vo*cosA*t+(1/2)*2*t^2
Voy=Vo*senA-10*t
y=Vo*senA*t-(1/2)*10*t^2
No hay ningún video de unicoos sobre movimiento parabólico que contemple con vientos o similares.
Buenas tardes como se resolvería este ejrcicio:
CALCULA LA PRESIÓN QUE SOPORTA EL FONDO DE UNA BAÑERA EN LA QUE EL AGUA LLEGA HASTA UNA ALTURA DE 50 CENTÍMETROS. DENSIDAD DEL AGUA: 1000 kg/m^3.
-CALCULA LA FUERZA QUE SE DEBE APLICAR PARA TIRAR DEL TAPÓN QUE SE ENCUENTRA EN EL FONDO DE LA BAÑERA CON UNA SUPERFICIE CIRCULAR DE 2 CENTÍMETROS DE RADIO Y UNA MASA DE 100 GRAMOS.