¡Buenas! Estoy practicando ejercicios de la ley de Coulomb (1º de bachillerato). Tengo entendido que al sustituir en la fórmula una carga, siempre es en valor absoluto, dado que los signos solo los utilizamos para ver si las cargas se repelen o se atraen. Mi duda es: en caso de que una de las incógnitas sea una carga y solo tengamos que despejar, ¿la carga que nos dan como dato se pone en valor absoluto, o en este caso no, ya que va a influir en nuestro resultado final? ¡Gracias por la atención!
Aunque es una duda general, dejo el ejercicio que me ha hecho dudar por si sirve de algo: Una carga de -5×10^-7 C ejerce una fuerza a otra carga de 0.237 N a una distancia de 3.5 metro, ¿cuál es el valor de la segunda carga?

Vamos a ver, todo depende si te piden que des una respuesta en valor absoluto o no. Yo te recomiendo trabajar siempre vectorialmente, pues si no se trabaja con vectores, debes poner las cargas en valor absoluto y no hay forma de saber si es positiva o negativa a no ser que te den pista en el enunciado.
Si trabajas vectorialmente, según el signo de la fuerza sabes si las cargas son de igual signo o de signo contrario, y al despejar la incógnita te sale el valor absoluto de la carga, y además la información de si es positiva o negativa.

Es verdad que trabajando en forma vectorial se ve todo más claro, pero preguntaba más que nada porque en estos problemas se me suelen dar los datos en escalar (como en el ejemplo que he puesto arriba), y no sabía si las cargas seguían poniéndose en valor absoluto o no por si influía en el signo de la otra carga.
Pero nada, duda resuelta entonces, ¡gracias por responder!
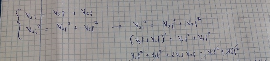
alguien me puede explicar como seguir el ejercicio? El enunciado es este : Una partícula con una velocidad v1i, choca elásticamente con otra inicialmente en reposo, ambas tienen la misma masa. Si el choque es unidimensional, encuentra las velocidades de las dos partículas después del choque.
Graacias¡

Tienes que 2*(V1f)*(V2f)=0
Luego la única forma de que sea 0 es que o V1f=0 o V2f=0
Eso es algebraicamente, para resolver la ecuación, pero V2f no puede ser 0 porque algo se va tener que mover tras el empujón
Entonces te queda que V1f=0
Ahora usa este valor de V1f en la primer ecuación y obtienes que V1i=V2f
Me gustaría comprobar si hemos hecho bien el siguiente ejercicio:
Se lanza una pelota verticalmente hacia arriba con una velocidad inicial de 10 m/s. El viento produce una fuerza horizontal constante sobre la pelota igual a la quinta parte del peso de ésta. Se pide:
1. La distancia entre el punto de lanzamiento y el impacto sobre el suelo.
2. La velocidad de la pelota en el punto más alto de la trayectoria.
3. La altura máxima que alcanza la pelota.
4. la velocidad de la pelota en el momento del impacto: valor y dirección.
5. Ecuación de la trayectoria.
El ejercicio es un ejercicio que aparece resuelto pero que pienso tiene algunos errores.

A ver jcatalán, debes poner el enunciado original, pues creo que faltan algunas consideraciones a tener en cuenta. Por otro lado si se tienen las respuestas, deben ponerse, cuanto más siendo un ejercicio complicado y laborioso como el que planteas. Ten en cuenta que el foro es gratis y el que contesta cuanto más se le facilite la labor mejor. Esto no son clases particulares pagadas.
Un Saludo.
El enunciado está copiado tal cual, las respuestas serían:
1º R=(2v/g^2).a=(2.10^2/10^2).10/5=4 m. Lo que no entiendo es lo de g^2, que pienso que debería ser g, y la fuerza del aire 10/5.
2º Vy=0; Vx=at; Vx=a.v/g=2.10/10=2m/s
3º Y=vt-1/2gt^2=(v^2/g)-1/2.(v^2/g)=v^2/2g=10^2/20=5m
4º Vy=v-gt; Vx=at; si t=2v/g ==> Vy=-v=-10m/s; Vx=(2v/g).a=4 m/s, v=10'7 m/s
5º x=t^2; Y=10t-5t^2; Y=10.(sqrt(x)-5x)
Gracias
Me ayudan con estos ejercicios quiero saber si los hice bien
1) 1.65 VOLTIOS
2)0.0325 VOLTIOS
3) Me ayudan en este porfa

Si están en paralelo si Capacidad equivalente (Ceq) es la suma de las dos capacidades), es decir, Ceq=C1+C2
Esa Carga (200 C) es la carga que tiene el condensador global Ceq, es decir, es Qeq
Entonces Ceq=Qeq/V
V=Qeq/Ceq
Ahora una vez que tienes el valor de V, esa V es la diferencia de potencial equivalente y también es la diferencia de potencial del primer y segundo condensador, ya que al estar en paralelo los dos condensadores tienen la misma diferencia de potencial.
Entonces Q1=V*C1
Y Q2=V*C2
SOS tengo mañana el examen.
"a) Una bola de 1kg se mueve con una velocidad de 20m/s contra otra de 3kg que, a su vez se mueve contra la primera a 10m/s. Si después del choque la bola más pesada sale con una velocidad de 2m/s en la misma dirección y sentido que llevaba la ligera antes de chocar, calcula la velocidad de esta después del choque precisando su sentido. b) Calcula la velocidad de las 2 bolas de la actividad anterior si despues del choque permanecen unidas."
HOLA!
por favor ayúdenme con este tipo de pregunta:
Deduzca la ecuación de momento de inercia de los cuerpos siguientes:
disco de masa 106,6 gramos , diámetro = 88 mm
Aro de masa 269,1 gramos, diámetro mayor=88 mm y diámetro menor: 37 mm
varilla de longitud 38 cm, y 41,72 gramos de masa
varilla de longitud 38 cm y 41,72 gramos de masa con dos masa colocadas cada una a 17.75 cm con respecto al eje central de la varilla
Hola a todos, saludos desde Argentina!
Necesito ayuda con este ejercicio: Un antílope con aceleración constante cubre la distancia de 70 mts entre dos puntos en 7 segundos. Su rapidez al pasar por el segundo punto es de 15 m/s. a) ¿Qué rapidez tenía en el primero? b) ¿Qué aceleración tiene?
Desde ya, muchas gracias!
Ayuda con este ejercicio:
Atamos una cuerda a una caja de 80kg que está apoyada sobre una superficie horizontal y tiramos de la cuerda hacia arriba formando 30º con la horizontal. La tensión de la cuerda justo antes de empezar a moverse la caja vale 120N. Determina:
a) La reacción normal de la superficie.
b) La fuerza de rozamiento.
c) El coeficiente de rozamiento.

Vamos a ver Irene:
P=m·g=80·10=800 N
Tsen30=120·0.5=60 N
Luego la normal sería: N=P-Tsen 30=800-60=740 N
En el instante que dice el ejercicio: Tcos30-Fr=m·a pero como no ha empezado amoverse a es cero con lo que: Tcos30= Fr=120·0.866=103.92 N
Como Fr=μ·N→μ=Fr/N=103.92/740=0.14
Un Saludo