Foro de preguntas y respuestas de Matemáticas

logo beUnicoos
Los foros de unicoos se han unificado en nuestra nueva plataforma beUnicoos. Para dejar nuevas preguntas deberás hacerlo allí, donde además podrás encontrar nuevas asignaturas y herramientas para ayudarte más con tus estudios.

  • icon

    Isabel
    el 14/10/16

    Me han dicho que se hace así, pero no lo entiendo quisiera saber porque da este resultado, para poder continuar con el ejercicio:

    X-AY=0

    AX-Y=I

    X=AY LUEGO  A(AY)-Y=I ;    NO SE COMO SE LLEGA A ESTO  (A2-I)Y=I ¿?


    replythumb_up0 voto/sflag
    icon

    Antonius Benedictus
    el 14/10/16

    Te lo explicamos, Isabel:

    thumb_up0 voto/sflag
  • icon

    Roberto
    el 14/10/16

    Tenemos la función f(x) definida a trozos

    f(x) -> xe^1/x       si  x!=0   (distinto de 0)

           -> 0                 si x=0


    ¿Para la continuidad de esta funcion los limites laterales de 0 tendrían el mismo resultado o hay diferencia de hacer 0+ y 0-?

    replythumb_up0 voto/sflag
    icon

    Antonius Benedictus
    el 14/10/16

    Tienes que hacer los límites laterales. El motivo: 

    e^(+inf.)=+inf.

    e^(-inf.)=0

    thumb_up0 voto/sflag
    icon

    Antonius Benedictus
    el 14/10/16

    Desarrollo:

    thumb_up1 voto/sflag
  • icon

    Keith Caballero Rodriguez
    el 14/10/16

    Me pueden ayudar con este problema: Que me sugieren hacer Sandwich?

    replythumb_up0 voto/sflag
    icon

    Antonius Benedictus
    el 14/10/16

    Sí, altamente recomendable.

    thumb_up0 voto/sflag
  • icon

    dovigame
    el 14/10/16

    Profe sobre esta integral hay un cambio de variable que quisiera saber después de reducirlo cuando el resultado nos queda así:1/√2-x^2 -1/√2+x^2

    replythumb_up0 voto/sflag
    icon

    Axel Morales Piñón.
    el 14/10/16

    Sí has simplificado adecuadamente y aplicado las propiedades de radicales, la primera integral, es de tipo sin-1 y para la segunda

    por sustitución trigonométrica n.n


    thumb_up0 voto/sflag
  • icon

    Laura
    el 14/10/16

    Buenas tardes , me podrían orientar como resolver este ejercicio? No se como empezar. gracias.

    replythumb_up0 voto/sflag
    icon

    Antonius Benedictus
    el 14/10/16

    Te lo explicamos, Laura:

    thumb_up1 voto/sflag
    icon

    Laura
    el 15/10/16

    Hola Antonio, primero gracias por tu ayuda, pero no entiendo como hablaste las clases de equivalencia me lo explicarias?  Gracias.

    thumb_up0 voto/sflag
  • icon

    dovigame
    el 14/10/16

    También he intentado resolver este ejercicio pero lo de la función y=función no lo entiendo no sé si podrían ayudarme en realidad no lo entiendo

    replythumb_up0 voto/sflag
    icon

    César
    el 14/10/16

    thumb_up0 voto/sflag
  • icon

    Keith Caballero Rodriguez
    el 14/10/16

    Me apueden ayudar a calcular este límite: no puedo quitarle la indeterminación, por favor

    replythumb_up0 voto/sflag
    icon

    César
    el 14/10/16

    va Keith 


    thumb_up0 voto/sflag
    icon

    Antonius Benedictus
    el 14/10/16

    Te explicamos, Keith:

    thumb_up0 voto/sflag
    icon

    Keith Caballero Rodriguez
    el 14/10/16

    Una consulta como saber si no puedo quitar la indeterminación en la primera expresión, porque en eso es lo que e fallado, quise de frente intentarle quitar la indeterminación.

    thumb_up0 voto/sflag
  • icon

    dovigame
    el 14/10/16

    Gracias Antonio pero no consigo resolverlo es que la primera orientación no la comprendo y por ese motivo no consigo resolverlo

    replythumb_up0 voto/sflag
    icon

    Antonius Benedictus
    el 14/10/16

    Va paso a paso, Dovigame:

    thumb_up0 voto/sflag
  • icon

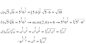
    Juan Pablo Mohedano Navarro
    el 14/10/16

    Me podrían ayudar con estos ejercicios,

    Muchas gracias

    replythumb_up0 voto/sflag
    icon

    César
    el 14/10/16

    Repasa las operaciones con radicales

    Radicales Radicales

    thumb_up0 voto/sflag
  • icon

    Juan Pablo Mohedano Navarro
    el 14/10/16

    Tengo dudas si los cálculos están bien, podrían ayudarme?

    Gracias 

    replythumb_up0 voto/sflag
    icon

    Mauricio Medina
    el 14/10/16

    en la c es x7, por que, para entrar se vuelve x6 y la x que tienes es x7

    La siguiente esta mal tambien , por que le quitaste la raiz, se la debes de quitar o en su defecto dejarsela a 18x solamente y divisor quedaria solo a.

    en el tercero todo lo que metiste a la raiz en el divisor no lo elevaste sl cuadrado.

    en el tercero nuevamnte el divisor no lo elevaste y el 4 lo elevaste mal, bueno no es el numero correcto el que pusiste


    thumb_up0 voto/sflag