Hola, no encuentro la manera de llegar de esta expresión: (√160)/2 a esta otra: 2√10
si pudieran decirme qué palabras clave debería haber utilizado para hallar información al respecto sería fenomenal. Gracias de antemano!
el resultado lo obtuve con
www.wolframalpha.com
Hola que tal me podrian ayudar a igualar estas identidades trigonometricas ya intente pero no las puedo igualar![]()

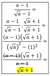
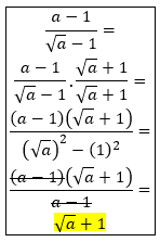
Puedes comenzar por multiplicar al numerador (N) y al denominador (D) de la izquierda por la expresión "conjugada" del denominador, lo hacemos (indicamos theta con t)::
N = (sent)^2 * (1 + cost)
D = (1 - cost)*(1 +cost) = (distribuimos y cancelamos términos opuestos) = 1 - (cost)^2 = (identidad trigonométrica) = (sent)^2.
Luego, observa que el numerador y el denominador comparten el factor (sent)^2, por lo tanto puedes simplificarlos en la expresión fraccionaria, y queda:
N/D = 1 + cost.
Debes tener en cuenta la identidad trigonométrica fundamental (o pitagórica):
(cost)^2 + (sent)^2 = 1, de la que surgen (por pasaje de término) otras dos:
(cost)^2 = 1 - (sent)^2
(sent)^2 = 1 - (cost)^2
observa que en este ejercicio hemos empleado la última identidad.
Espero haberte ayudado.
L
Hola me ayudan con este ejercicios de cambio de base, no se me ocurre como pasar a otra base sin pasar por la base decimal.
Yo lo hice asi.

Me encantaría ayudarte, pero no respondo dudas universitarias o que no se den en matematicas preuniversitarias que no tengan que ver específicamente con los videos que ya he grabado como excepcion. Lo siento de corazón… Espero lo entiendas. Por si te ayuda...
/video2928De binario a decimal
Coincido en parte.
El ejercicio 6 lo has resuelto correctamente.
Y el ejercicio 7 también está resuelto correctamente: x = -2 y, para verificar la solución que has hallado, puedes sustituir en el argumento del logaritmo en base dos, lo hacemos y queda:
1 / ( 64 * 4^(-2) ) = 1 / ( 2^6 * 2^(-4) ) = 1 / (2^2) = 2^(-2).
Por lo tanto, luego calculas el logaritmo en base 2 del argumento, y obtienes que el resultado es -2., tal cuál como has dicho en tu desarrollo. Has resuelto correctamente el ejercicio 7.
Espero haberte ayudado.
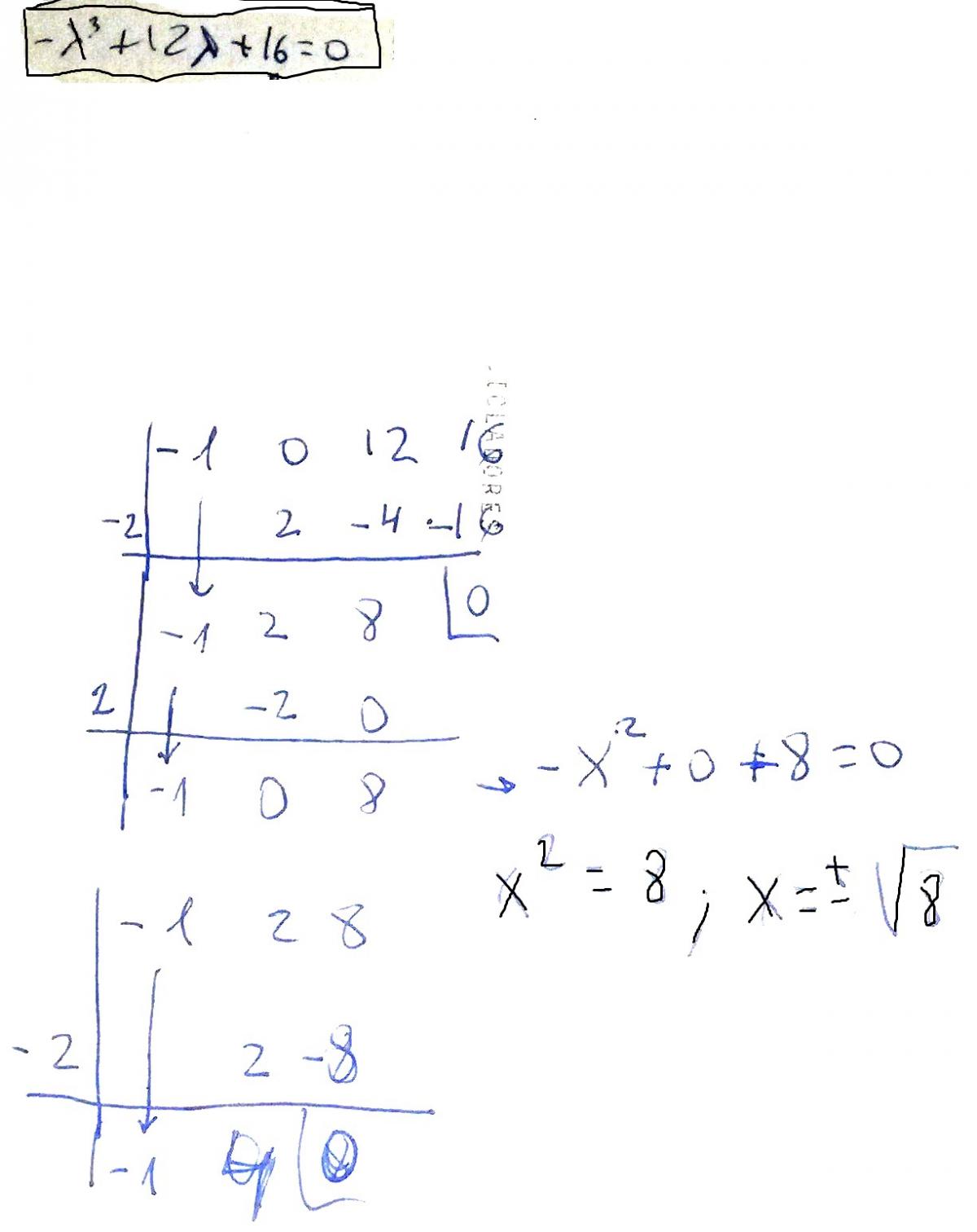
Hola,
os adjunto una ecuacion de tercer grado que he resuelto por ruffini, pero
-no da los resultados que toca -2, -2. 4
- y no me sale bien la ecuacion de segundo grado que deberia salir con solo sacar una de las raices.