Hola, gracias por ayudar a tantas personas de todo el mundo :D
Quiero hacer una consulta, es lo mismo decir que la Cosecante (seno elevado a la menos 1) es igual al arcoseno???? lo pregunto por que estoy estudiando derivadas, y en caso de ser así, tendría muchas formas de aplicar derivadas. Gracias de ante mano

La cosecante de x es la FRACCIÓN INVERSA del seno de x. Esto es csc x=1/(sin x)
La función y=arcsin(x) es la FUNCIón INVERSA de la función y=sin(x). Tu despiste (y el de muchos alumnos) consiste en que en muchos textos (y calculadoras) la función inversa se pone f (-1) y por eso el arcsin lo ponen como sin(-1), pero esto no ha de confundirse con la potencia numérica de exponente (-1). Resumiendo:
sin-1(x)=arcsin (x)
(sin x)-1=csc x
Espero habértelo aclarado, Daniel.
Hola, una consulta sobre las propiedades de las integrales.
-cuando introducimos algo por ejemplo un 2, en el numerador de la integral, hay que ponerlo fuera de la forma 1⁄2.
-cuando introducimos ese dos en el denmonimandor -o sea dividiendo-, hay que ponerlo fuera de la integral multiplicandola?
Y los casos contrarios, al sacar algo de la integral.
-si sacamos algo del numerador -por ejemplo un 2- como hay que indicarlo fuera?
-y si sacamos algo del denominador???
Gracias
Hola Sus, igual si miras vídeos sobre integrales da la casualidad de que se dan estos casos en los vídeos.
Aquí te envío la lista de vídeos sobre integrales de UNICOOS:
http://www.unicoos.com/tema/matematicas/1-bachiller/integrales
Saludos.
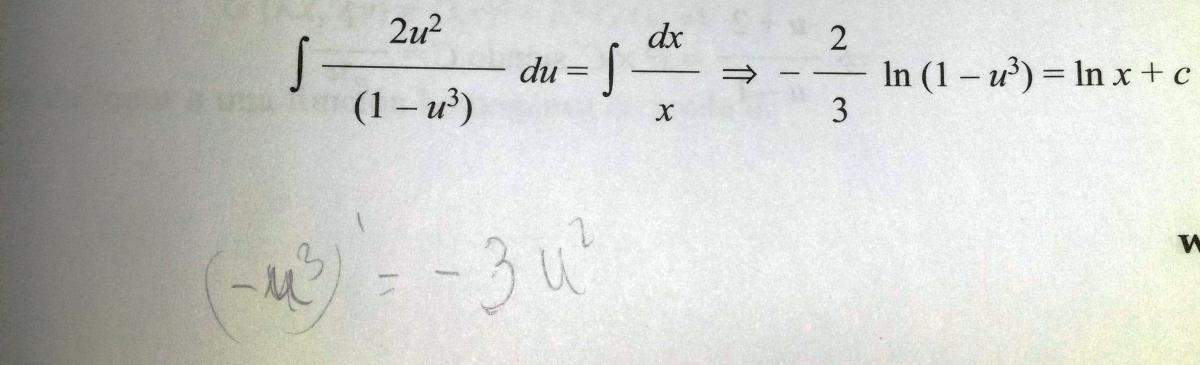
primero sacas la constante de la integral, en este caso el 2. Luego haces el cambio simple x=(1-u^3) y calculas dx, que es dx= -3u^2du entonces dx/-3 = u^2du, y sustituyes y verás que queda -2/3 por la integral. El razonamiento en general, consiste en calcular la derivada de lo de abajo y ver que falta arriba. Saludos.