Me pueden ayudar con esto porfa.
En cierto instante t0, la longitud del lado de un cuadrado mide 10 cm, y cada
lado del cuadrado está:
a) Aumentando en longitud a razón de 0.2 cm/min.
b) Disminuyendo en longitud a razón de 0.4 cm/min.
¿Cuál es la velocidad de cambio del área del cuadrado, en cada caso:
i) Con respecto al tiempo en el instante t0?
ii) Con respecto a la longitud del lado en el instante t0?
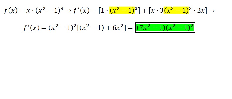
alguien me puede ayudar con esta derivada f(x)= x(x^2 -1 )^3 ; a ver yo he llegado hasta su derivada que es (x^2 -1)^3 + 6x^2( x^2 -1 )^2, ahora lo que no se es como simplificarla, es decir los paréntesis de dentro los he echo con diferencia de cuadrados, en total me sale 7x^6 - 12x^4 +15x^2 - 4 y se supone que me tiene que dar 7x^6 -15x^4 +9x^2 - 1 , por favor ayúdenme , no se donde esta mi error.

Lo primero será obtener los puntos de corte con el eje x, resolviendo la ecuacion f(x)=0... Para ello, Ruffini... Representacion Funcion Polinomica
Tabién , dependiendo del curso en el que estes tendrás que halalr maximos y minimos... Crecimiento y curvatura de una función polinomica
Buenas! Porfas porfas porfasss, me ayudan con este ejercicio?? Desde ya muchas gracias! Saludos desde Argentina!!