hola unicoos,alguien me podria decir si la funcion :
f(x)={ cos(2x)-1/3x^2 si x≠0
{-2/3 si x=0
es derivable en el punto x=0

Toda función derivable ha de ser continua. Estudiemos la continuidad (los límites son para x→0)
lim( (cos(2x)-1)/(3x^2)=lim (Cos(2x))-1)(cos(2x+1)/3x^2(cos(2x)+1)=lim (cos^2(2x)+1)/3x^2(cos(2x+1)=
lim (-sin^2(2x))/3x^2(cos(2x)+1)=lim ((sin^2(2x)/(2x)^2))·((-4/3)/(cos(2x)+1))=1·(-4/6)=-2/3=f(0) (VALE)
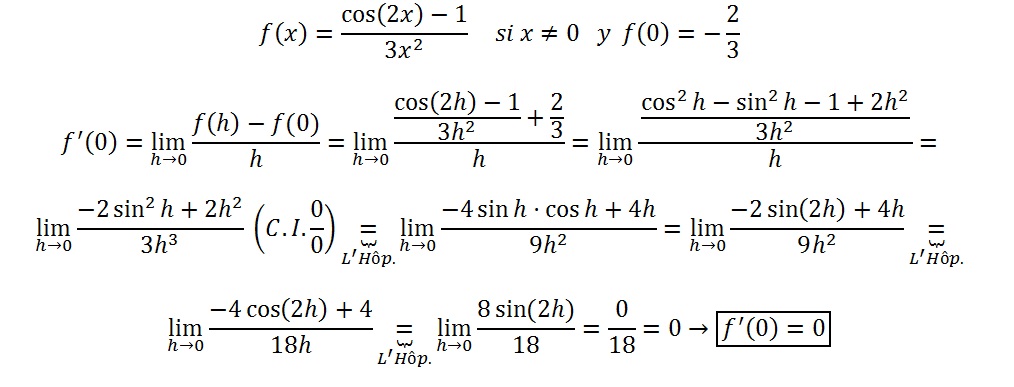
f'(0) te la mando en foto dentro de unas horas, pues es engorroso escribirlo así.
Hola, ¿Por favor me podria ayudar con estas?
F(x)= x/1-x^2. y las preguntas dicen es continua en a-c y ¿es continua en el intervalo (-2,2)?
:-)
Hola, por favor ¿ alguien puede ayudarme con este problema? no sé por donde empezar, al menos saber por donde empiezo, pruebo mil cosas y ninguna coincide con los resultados. Hago la integral definida entre 1 y 10 y luego despejo K igualando a 1? o la hago entre más infinito y menos infinito y despejo K igualando a 1?

Empezamos por la integral indefinida:
∫k(x^2+1)/(3x^3+9x)dx
Cambio: t=3x^3+9x→dt=9(x^2+1)dx→(x^2+1)dx=(1/9)dt
x=1→t=12
x=10→t=3090
∫(entre -∞ y +∞) f(x)dx=∫(entre 1 y 10)k(x^2+1)/(3x^3+9x)dx=∫(entre 12 y 3090) (k/9t)dt=(k/9)(ln t) (entre 12 y 3090)=
=(k/9)(ln 3090 - ln 12)=1→k=9/(ln 3090 - ln 12)→k=1'6215
Hola amigos ! tengo una duda, en esta matriz después de hacerle Gauss me sale este resultado, pero en la solución debe salir la mitad, donde está el fallo ? Gracias
Hola a todos, me dan una mano como empezar con esto? Gracias!
"Demostrar que los puntos medios de los lados de cualquier cruadilatero son los vertices de un paralelogramo"
¡Buenas noches! Estoy haciendo un ejercicio sobre una función, calculando por donde pasa el punto, el dominio. Esos dos primeros los he realizado. ¿ Me pueden decir si están bien? ¿me pueden ayudar para realizar los siguientes apartados? calcular el máximo relativo, saber si está acotada superior o inferiormente, y si es continua
Si pasa por (2,-2)
Corte con el eje X , no tiene , pues 0=2/(x-3)
Corte eje Y => x=0 y=2/-3
B.- Correcta
C.- No tiene extremos , la f´(x) no se anula
D.- No esta acotada, presenta una asintota vertical en x=3
E.- No es continua en x=3, por anularse el denominador en ese punto, limites laterales distintos en x=3
Hola, mañana tengo un examen y quiero asegurarme de que estos ejercicios tengo bien, por favor, si alguien me ayudaría...

El primero son propiedades de los determinantes. En el primer determinante tenes que sacar un 3 afuera del determinante y luego trasponer la matriz, entonces te queda 3 multiplicando al determinante que tienes arriba que ya sabes que es 6, 3x6 =18 y listo. En el otro lo mismo, tienen que sacar un 2 fuera del terminante para sacar el 2 multiplicado en la primer fila, luego sacar un (-1) para sacar el - de la 2da fila y luego para separar la 3er fila haces 2 determinantes, uno que su ultima fila sea a b c y la otra g h i, con lo cual el primero que te queda da 0, porque si un determinante tiene 2 filas o columnas iguales es 0, entonces te queda el 2do, que es igual al que te dan de dato, y todo eso te quedo multiplicado por -2, -2x6= -12.
Y el ultimo es solo despejar la x o y de alguna de las 2 y reemplazarla en la otra, nada raro, solo fijate que si pasas alguna matriz multiplicando tenes que usar la inversa
http://www.vitutor.com/algebra/determinantes/propiedades.html
Me podriais ayudar a la hora de despejar estas dos ecuaciones diferenciales para tener variables separables?:
1) Y' =sen(x-y)
2) (x^3) Y' -sen(y)=1
Muchas gracias de antemano.