Foro de preguntas y respuestas de Matemáticas

logo beUnicoos
Los foros de unicoos se han unificado en nuestra nueva plataforma beUnicoos. Para dejar nuevas preguntas deberás hacerlo allí, donde además podrás encontrar nuevas asignaturas y herramientas para ayudarte más con tus estudios.

  • icon

    Daniel
    el 25/5/16

    Mientras repasando para un global de matematicas en un video de optimizacion de David, explico que se puede realizar la integral de una division subiendo el denominador con exponente y resolviendolo (uso f(x)=2/R). por tanto intente este metodo con una funcion un pelin mas compleja y el resultado me sale correcto. Este metodo me resulta mucho mas corto que la formula f(x)/g(x)=(f'(x)*g(x)-f(x)*g'(x))/(g(x))^2. Mi pregunta es si este metodo siempre resulta mas rapido o hay casos donde se convierte en una ecuacion muy compleja? cuando aconsejarias usarla? Existen casos donde este metodo no funciona? Graciass

    replythumb_up0 voto/sflag
    icon

    César
    el 25/5/16

    Cuando tienes expresiones del tipo P(x)/Q(x) subier al numerador no ayuda en gran cosa.
    En el caso que citas es trivial, y si funciona.

    thumb_up0 voto/sflag
  • icon

    ?erv? Elmalti
    el 25/5/16

    Hola!
    Me podrían resolver una función de examen de uned del 2015 modelo3 -pregunta 3 opción A .gracias

    replythumb_up0 voto/sflag
    icon

    Antonius Benedictus
    el 25/5/16

    No nos des trabajo extra. Súbelo.

    thumb_up1 voto/sflag
    icon

    ?erv? Elmalti
    el 25/5/16

    Representar la gráfica de la función f(x)=1/√-ײ+3×
    Muchas gracias ...

    thumb_up0 voto/sflag
  • icon

    María
    el 25/5/16

    Hola buenas, me podrían decir si esta integral définida está bien realizada? Es que en las soluciones pone otra cosa, y creo que mi error se encuentra en haber sacado un -2 en lugar de la constante entera -8, pero lo he hecho para obtener la derivada de la función de abajo. Sin embargo no se hace así, no se podría hacer eso?

    replythumb_up0 voto/sflag
    icon

    Javier
    el 25/5/16

    Hola María,
    esto te puede ayudar mucho:
    https://es.symbolab.com/solver/definite-integral-calculator/%5Cint_%7B0%7D%5E%7B2%7D%5Cfrac%7B%5Cleft(x-2%5Cright)%5E%7B2%7D%7D%7B%20%5Cleft(x%2B2%5Cright)%5E%7B2%7D%7D%20dx/?origin=button
    Un saludo.

    thumb_up0 voto/sflag
  • icon

    Toby
    el 25/5/16

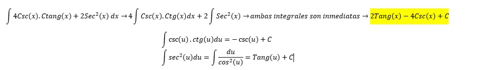
    Hola maestros de unicoos, saludos, me podrian hechar una manita con una integral que da vueltas y vueltas.
    ∫ (4 Csc x Cotx +2 Sec²x) dx
    No se como hacer, por el método normal o sustitución ya que ese 4 cosecante por cotangente de la variable me complica la vida.
    Gracias de antemano maestros unicoos.
    Saludos
    Att: El Toby

    replythumb_up0 voto/sflag
    icon

    Axel Morales Piñón.
    el 25/5/16

    Toby ambas son integrales inmediatas...

    thumb_up0 voto/sflag
  • icon

    Robin Chavez
    el 25/5/16

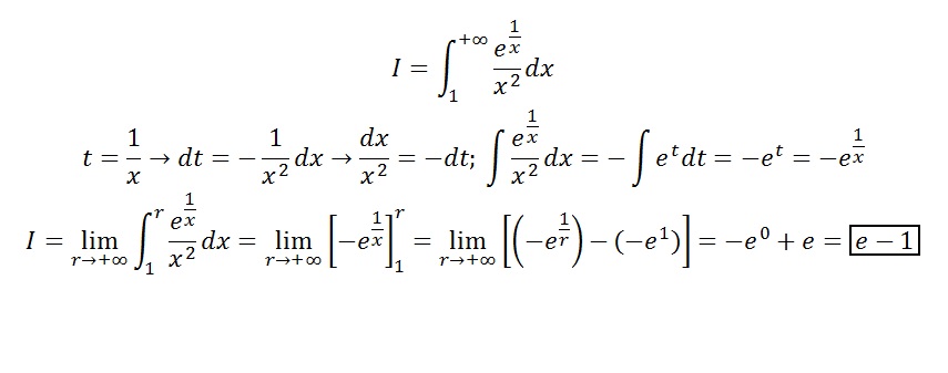
    Buenas noches como puedo empezar esta integral , estaba resolviendo con una sustitucion pero luego de resolver todo me queda en infinito :(... me pueden guiar por favor gracias de antemano.

    replythumb_up0 voto/sflag
    icon

    Antonius Benedictus
    el 25/5/16

    Te va la integral impropia, Robin:

    thumb_up0 voto/sflag
    icon

    Robin Chavez
    el 25/5/16

    Genial muchas gracias profesor =).

    thumb_up0 voto/sflag
  • icon

    Dante
    el 25/5/16
    flag

    Si f(x)=g(x) en el intervalo -o.oo1< x < 0.0001 entonces, lim f(x) = 3 cuando x___> 0 eso implica lim g(x) = 3 cuando x____> 0 .Tengo que justificarlo analizando la veracidad Mi duda como tengo que encararlo partiendo con la 1° funcion f(x) vale 3 ? que se cumple los lim laterales? y valen lo mismo? o por la unicidad del limite. Espero alguna respuesta Gracias

    replythumb_up0 voto/sflag
    icon

    David
    el 26/5/16

    Lo siento pero no entiendo tu duda... ¿cual es f(x)? ¿cual es g(x)? ¿que te pidenexactamente hacer? ¿nos dejas una foto del enunciado literal?.. GRACIAS

    thumb_up0 voto/sflag
  • icon

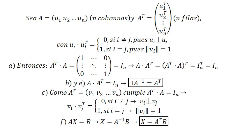
    KIMEUNWOOK
    el 25/5/16

    esto es muy urgente ayuda
    Decimos que una matriz A cuadrada es ortogonal, si y sólo si, las
    columnas de la matriz son vectores unitarios y ortogonales entre
    si. Decida si cada una de las siguientes proposiciones es falsa o
    verdadera y diga por qué.
    a) Si A es una matriz ortogonal, entonces ATA = I.
    b) Toda matriz ortogonal es invertible.
    c) Si A es una matriz ortogonal, AT
    también es ortogonal.
    d) La matriz idéntica es ortogonal.
    e) La inversa de una matriz ortogonal es su transpuesta.
    f ) Si A es una matriz ortogonal, la solución del sistema de ecuaciones
    lineales Ax = b es x = ATb.

    replythumb_up0 voto/sflag
    icon

    Antonius Benedictus
    el 25/5/16

    Te ayudamos, Angélica:

    thumb_up0 voto/sflag
    icon

    Antonius Benedictus
    el 25/5/16

    Falta el d).
    I sí es ortogonal (es traspuesta e inversa de sí misma)

    thumb_up0 voto/sflag
  • icon

    jhon perez contreras
    el 25/5/16
    flagflag

    por favor una ayúdenme gracias de antemano

    replythumb_up0 voto/sflag
    icon

    David
    el 26/5/16

    En el fondo son tres integrales... ∫e^senx .dx / cos²x - ∫e^senx .dx / sen²x + . ∫e^senx .dx / senx,
    Pero no puedo ayudarte más allá pues unicoos por ahora se queda en bachiller. Espero lo entiendas...

    thumb_up0 voto/sflag
    icon

    David
    el 26/5/16

    Por otro lado, con dudas universitarias, a veces si podemos hacer una excepción, orientaros un poco... Pero debéis intentar aportar algo más que un enunciado...

    thumb_up0 voto/sflag
  • icon

    Axel Morales Piñón.
    el 25/5/16

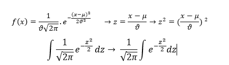
    Una manita unicoos con la solución de esta integral...

    replythumb_up0 voto/sflag
    icon

    Antonius Benedictus
    el 25/5/16

    No existe una integral indefinida elemental para ella.
    https://es.wikipedia.org/wiki/Integral_de_Gauss

    thumb_up1 voto/sflag
    icon

    Axel Morales Piñón.
    el 25/5/16

    Gracias amigo Antonio:-)

    thumb_up0 voto/sflag
  • icon

    María
    el 25/5/16
    flagflag

    Hola unicoos! podrían decirme si este problema se puede resolver con casquillos? y cual sería el resultado, yo obtuve 42.41

    replythumb_up0 voto/sflag
    icon

    David
    el 26/5/16

    No... Es mucho más complicado.. Pero, aunque me encantaría ayudarte, no respondo dudas universitarias que no tengan que ver específicamente con los videos que ya he grabado como excepcion.
    Lo siento de corazón… Espero lo entiendas

    thumb_up0 voto/sflag