Hola, podrian decir cual es la segunda de f´(x)= 5- 3600/x ?
hola unicoos,alguien podria ayudarme con los siguientes ejercicios?
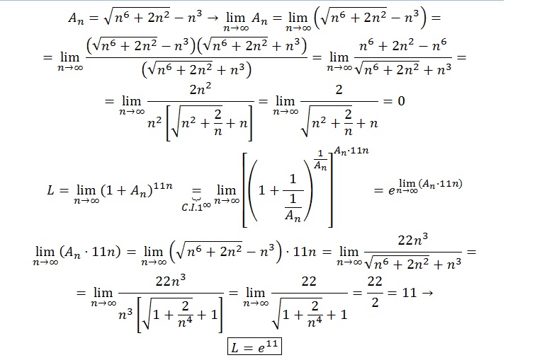
1:)sea An= (√n^6+2n^2)-n^3
calcular limite cuando n tiende a infinito de: (1+An)^11n
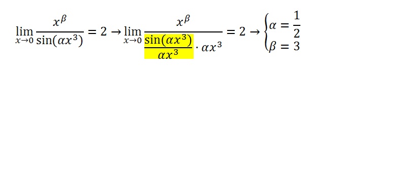
2:) para que valores de β≠0 y α≠0 vale que: LIM x^β / sen (αx^3)= 2
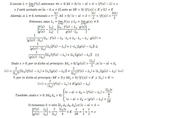
Hola unicoos, me piden demostrar las siguientes dos propiedades usando la definición de limite. Alguien me da una mano por favor !
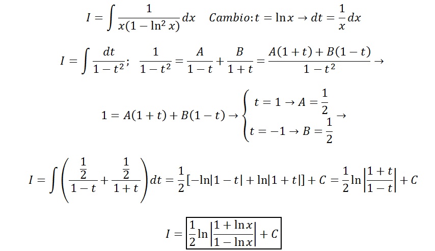
hola unicoos !! por favor podrían ayudarme a resolver la siguiente integral ?
la integral es ∫1/(x(1-(lnx)^2)
he intentado hacerla racional pero no consigo que me salga
les agradeceria muchisimo que me ayudaran
gracias de antemano
Hola,buenas noches necesitaria un video con la explicacion de estas derivadas de 1 bachillerato:
y=raiz de 3 elevado a x^2+1
y=log base 3 de (7X+2)
y=e^x+e^-x dividido e^x - e^-x
y=ln de (1+x partido 1-x)
y=(1+sen x / 1-sen x)+ ln(1-sen x)

Hola Sara, acoto algo, en la primera asumo yó que ha ser raíz cuadrada, porque en lo que haz escrito no espeficica, no sé zi será raíz cúbica, cuartica, o e-nesima raíz.
Entonces vamos te ayudo con, vale¡
el primero sería y=(3)^[(x²+1)/2] , expresado en forma de potencia.
Según la definición, que sería la regla de la función de la forma y=a^v (a es una constante y v es la función)(a es constante porque es tradicional poner las primeras letras del alfabeto como constantes, en cambio casi siempre las últimas son variables o funciones (p,q,r,s,t,u,v,w,x,y,z)) esa estu fórmula similitud donde 3 es la constante y v la función que esta entre corchetes
y'=a^v (ln a)(dv/dx)
Entonces y'= (3)^[(x²+1)/2] (ln 3) [(x²+1)/2] '
y'=(3)^[(x²+1)/2] (ln 3) [2(2x+1)/2²]
y'=(3)^[(x²+1)/2] (ln 3) [(2x+1)/2]
Espero haber ayudado sin errar en algo, tienes que tener claro los conceptos de derivada, los métodos. Vale.
Es correcta Carlos.
También puedes calcular determinante y si da "0" entonces no tiene inversa. Fórmula: A^-1=(1/|A|)*(A^adj)^T -> La inversa es igual a (1/determinante) * la traspuesta de la adjunta.
Creo que se acaba antes según qué matrices.
Un saludo.
PD: El determinante de esa matriz da 0, por supuesto.
Disculpe maestros tengo una duda, que significa diferencial (dy), ya se que es la primera derivada por la diferencial dx, pero me imagino que es un incremento, o estoy equivocado, porque se parece un poco a la razón de cambio y también tiene un parecido a la derivada, no hay una manera mejor de comprenderlo de manera geométrica, ya he preguntado a varios profes pero no me fio. Gracias